电脑桌面
添加小米粒文库到电脑桌面
安装后可以在桌面快捷访问

人教A版高中数学必修五1数列的概念与简单表示法作业VIP免费

人教A版高中数学必修五1数列的概念与简单表示法作业_第1页
1/3
人教A版高中数学必修五1数列的概念与简单表示法作业_第2页
2/3
人教A版高中数学必修五1数列的概念与简单表示法作业_第3页
3/3
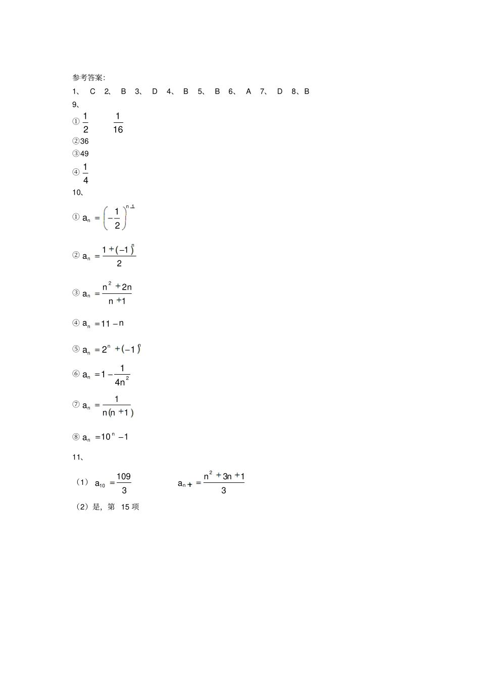
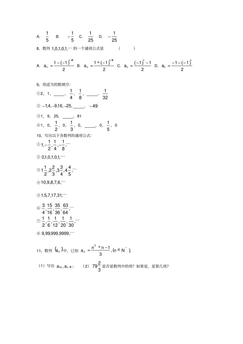
高中数学学习材料(灿若寒星精心整理制作)2.1数列的概念与简单表示法1、下列说法正确的是()A.数列1,3,5,7可表示为7,5,3,1B.数列1,0,2,1与数列1,0,1,2是相同的数列C.数列nn1的第k项是k11D.数列可以看做是一个定义域为正整数集*N的函数2、数列,28,21,,10,6,3,1x中,由给出的数之间的关系可知x的值是()A.12B.15C.17D.183、已知数列的通项公式为1582nnan,则3()A.不是数列na中的项B.只是数列na中的第2项C.只是数列na中的第6项D.是数列na中的第2项或第6项4、数列na的通项公式为nnan2832,则数列na各项中最小项是()A.第4项B.第5项C.第6项D.第7项5、已知数列,12,,7,5,3,1n,则53是它的()A.第22项B.第23项C.第24项D.第28项6、已知031nnaa,则数列na是()A.递增数列B.递减数列C.常数列D.摆动数列7、已知数列,11,,91,41,12nn,它的第5项的值为()A.51B.51C.251D.2518、数列,1,0,1,0,1的一个通项公式是()A.2111nnaB.2111nnaC.211nnaD.211nna9、用适当的数填空:①2,1,,41,81,,321②,25,16,9,4,1,49③1,9,25,,81④1,0,21,0,31,0,,0,51,010、写出以下各数列的通项公式:①,81,41,21,1②,1,0,1,0,1,0③,544,433,322,211④,6,7,8,9,10⑤,31,17,7,5,1⑥,6463,3635,1615,43⑦,301,201,121,61,21⑧,9999,999,99,911、数列na中,已知*2,31Nnnnan。(1)写出110,naa;(2)3279是否是数列中的项?如果是,是第几项?参考答案:1、C2、B3、D4、B5、B6、A7、D8、B9、①21161②36③49④4110、①121nna②211nna③122nnnan④nan11⑤nnna12⑥2411nan⑦11nnan⑧110nna11、(1)310910a31321nnan(2)是,第15项

1、当您付费下载文档后,您只拥有了使用权限,并不意味着购买了版权,文档只能用于自身使用,不得用于其他商业用途(如 [转卖]进行直接盈利或[编辑后售卖]进行间接盈利)。
2、本站所有内容均由合作方或网友上传,本站不对文档的完整性、权威性及其观点立场正确性做任何保证或承诺!文档内容仅供研究参考,付费前请自行鉴别。
3、如文档内容存在违规,或者侵犯商业秘密、侵犯著作权等,请点击“违规举报”。

碎片内容

人教A版高中数学必修五1数列的概念与简单表示法作业

爱的疯狂+ 关注
实名认证
内容提供者

该用户很懒,什么也没介绍

相关文档

确认删除?
VIP
微信客服
  • 扫码咨询
会员Q群
  • 会员专属群点击这里加入QQ群
客服邮箱
回到顶部