电脑桌面
添加小米粒文库到电脑桌面
安装后可以在桌面快捷访问

函数极限运输法则VIP免费

函数极限运输法则函数极限运输法则函数极限运输法则函数极限运输法则函数极限运输法则
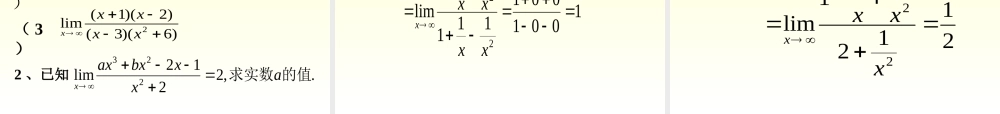
1 、函数极限的运算法则( 1 ) —— 当 时函数极限的运算法则baxgxfxgxfbaxgxfxgxfxxxxxxxxxxxx)(lim)(lim)]()([lim)(lim)(lim)()(lim000000bxgxx)(lim0axfxx)(lim0如果,那么).0()(lim)(lim)()(lim000bbaxgxfxgxfxxxxxx0xx  也就是说:如果两个函数都有极限,那么由这两个函数的各对应项的和、差、积、商组成的函数的极限,分别等于这两个函数的极限的和、差、积、商(作为除数的函数的极限不能为 0 )。 )(lim)]([lim00xfCxCfxxxx)()](lim[)]([lim*00Nnxfxfnxxnxx( C 为常数)注意:使用极限四则运算法则的前提是各部分极限必须存在。 例 1 已知.,221lim221的值求实数axxaxx221lim221xxaxx22111122a6a解: 你能否直接看出函数值的变化趋势?,xxxxf时当,23)(?23limxxx即例 2 函数 baxgxfxgxfbaxgxfxgxfxxxxxx)(lim)(lim)]()([lim)(lim)(lim)()(limbxgx)(limaxfx)(lim如果,那么).0()(lim)(lim)()(limbbaxgxfxgxfxxx:xxx就得替换为把0 )(lim)]([limxfCxCfxx)()](lim[)]([lim*Nnxfxfnxnx注意:使用极限运算法则的前提是各部分极限存在!( C 为常数) 即,00)1lim()1(lim1limnnxnxnxxxx01limnxx由运算法则可知:当 时推广0limnxxa*Nn 例 3 求下列函数的极限:)11(lim)1(2xxxxxx23lim)2(.42175lim)3(434xxxxx.1021106lim)4(32xxxxx )11(lim)1(2xxx解:)11(lim2xxxxxxx2lim1lim2000观察图象0limnxxa xxx23lim)2(xxx23lim解:)23(limxxxxx2lim3lim303观察图象0limnxxa ( 3 ).42175lim434xxxxx解:44444434442175limxxxxxxxxxxx.42175lim434xxxxx观察图象 )412(lim)175(lim434xxxxxx4344lim1lim2lim1lim7lim5limxxxxxxxxxx250020050limnxxa .1021106lim)4(32xxxxx解:1021106lim32xxxxx333333321021106limxxxxxxxxxxx22102116limxxxxxx...

1、当您付费下载文档后,您只拥有了使用权限,并不意味着购买了版权,文档只能用于自身使用,不得用于其他商业用途(如 [转卖]进行直接盈利或[编辑后售卖]进行间接盈利)。
2、本站所有内容均由合作方或网友上传,本站不对文档的完整性、权威性及其观点立场正确性做任何保证或承诺!文档内容仅供研究参考,付费前请自行鉴别。
3、如文档内容存在违规,或者侵犯商业秘密、侵犯著作权等,请点击“违规举报”。

碎片内容

函数极限运输法则

您可能关注的文档

精品文库+ 关注
实名认证
内容提供者

小学学习各类资料大全

相关文档

确认删除?
VIP
微信客服
  • 扫码咨询
会员Q群
  • 会员专属群点击这里加入QQ群
客服邮箱
回到顶部