电脑桌面
添加小米粒文库到电脑桌面
安装后可以在桌面快捷访问

高一上学期期中考试数学答案 安徽省北大附属宿州实验学校高一数学上学期期中考试卷(PDF)VIP免费

高一上学期期中考试数学答案 安徽省北大附属宿州实验学校高一数学上学期期中考试卷(PDF)_第1页
1/3
高一上学期期中考试数学答案 安徽省北大附属宿州实验学校高一数学上学期期中考试卷(PDF)_第2页
2/3
高一上学期期中考试数学答案 安徽省北大附属宿州实验学校高一数学上学期期中考试卷(PDF)_第3页
3/3
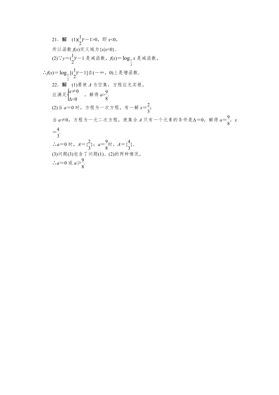
高一数学答案1.D[ 0∈A,∴{0}⊆A.]2.A[令 12x-1=t,则 x=2t+2,所以 f(t)=2×(2t+2)+3=4t+7.令 4m+7=6,得 m=-14.]3.C[由题意得:3x-1≥01-x>0,解得13≤x<1.]4.C[ f(x)=x3+x 是奇函数,∴图像关于坐标原点对称.]5.C[本题考查幂的运算性质.f(x)f(y)=axay=ax+y=f(x+y).]6.D[由指数函数与对数函数的单调性知 D 正确.]7.A[因为 a= 0.3=0.30.5<0.30.2=c<0.30=1,而 b=20.3>20=1,所以 b>c>a.]8.B[f(3)=log33-8+2×3=-1<0,f(4)=log34-8+2×4=log34>0.又 f(x)在(0,+∞)上为增函数,所以其零点一定位于区间(3,4).]9.B[A 中(a3)2=a6,故 A 错;B 中 log26-log23=log263=log22=1,故 B 正确;C 中,1122aa =1122a =a0=1,故 C 错;D 中,log3(-4)2=log316=log342=2log34.]10.C[依题意,函数 f(x)=ax+logax(a>0 且 a≠1)在[1,2]上具有单调性,因此 a+a2+loga2=loga2+6,解得 a=2.]11.A[将 y=lg x 的图像向左平移一个单位,然后把 x 轴下方的部分关于 x 轴对称到上方,就得到 y=|lg(x+1)|的图像.]12.A[ f(x)是偶函数,∴f(-x)=f(x),即 lg(10-x+1)-ax=lg1+10x10x -ax=lg(10x+1)-(a+1)x=lg(10x+1)+ax,∴a=-(a+1),∴a=-12,又 g(x)是奇函数,∴g(-x)=-g(x),即 2-x- b2-x=-2x+ b2x,∴b=1,∴a+b=12.]13.4解析 A={-1,3,m},B={3,4},B∩A=B,∴m=4.14.15lg 2解析令 x5=t,则 x=15t .∴f(t)=15lg t,∴f(2)=15lg 2.15.x3-2-x+1解析 f(x)是 R 上的奇函数,∴当 x>0 时,f(x)=-f(-x)=-[(-x)3+2-x-1]=x3-2-x+1.16.f(x)=34x解析设 f(x)=xn,则有 3n=4 27,即 3n=343 ,∴n=34,即 f(x)=34x .17.解(1)原式=12259+(lg 5)0+13334=53+1+43=4.(2)由方程 log3(6x-9)=3 得6x-9=33=27,∴6x=36=62,∴x=2.经检验,x=2 是原方程的解.18.解设最佳售价为(50+x)元,最大利润为 y 元,y=(50+x)(50-x)-(50-x)×40=-x2+40x+500.当 x=20 时,y 取得最大值,所以应定价为 70 元.故此商品的最佳售价应为 70 元.19.解(1)函数有两个零点,则对应方程-3x2+2x-m+1=0 有两个根,易知Δ>0,即Δ=4+12(1-m)>0,可解得 m<43;Δ=0,可解得 m=43...

1、当您付费下载文档后,您只拥有了使用权限,并不意味着购买了版权,文档只能用于自身使用,不得用于其他商业用途(如 [转卖]进行直接盈利或[编辑后售卖]进行间接盈利)。
2、本站所有内容均由合作方或网友上传,本站不对文档的完整性、权威性及其观点立场正确性做任何保证或承诺!文档内容仅供研究参考,付费前请自行鉴别。
3、如文档内容存在违规,或者侵犯商业秘密、侵犯著作权等,请点击“违规举报”。

碎片内容

高一上学期期中考试数学答案 安徽省北大附属宿州实验学校高一数学上学期期中考试卷(PDF)

您可能关注的文档

确认删除?
VIP
微信客服
  • 扫码咨询
会员Q群
  • 会员专属群点击这里加入QQ群
客服邮箱
回到顶部