8.2.18.2.1用代入消元法解二元一次方程用代入消元法解二元一次方程组组数学七年级下册(人教版)数学七年级下册(人教版)1、用含的代数式...
100e4e5e1-48ca-4996-98f2-41baa9d93ad3.docx8.1二元一次方程组导学案桔山中学:徐光辉学习目标:1、能了解二元一次方程的概念,理解二元一...
8.2.1代入消元法解二元一次方程组(一)教案汕头市翠英中学李少丹2016.4.13教材分析:本课内容是在学生掌握了二元一次方程组的有关概念之后...
用适当的方法解二元一次方程组一、目标导学:(一)学习目标:1、能熟练、正确、灵活掌握代入法和加减法解二元一次方程组。2、会对一些特殊...
8.2二元一次方程组的解法教学目标1.让学生理解解二元一次方程组的基本思想;2.让学生学会并掌握解二元一次方程组的常用方法;3.让学生学会...
累死我了!你还累?这么大的个,才比我多驮了2个.哼,我从你背上拿来1个,我的包裹数就是你的2倍.真的?老牛的包裹数比小马的多2个,由此你...
用代入消元法解二元一次方程组教学设计教学目标:知识与能力:体会消元的思想,会用代入法解二元一次方程组。过程与方法:引导学生通过观察...
2求解二元一次方程组第一课时用代入法解二元一次方程组学前温故新课早知1.含有两个未知数的两个一次方程所组成的方程组,叫做.2.二元一次方...
8.2.1二元一次方程组的解法(1)代入消元法松山湖实验中学学习目标1.理解二元一次方程组的代入消元法;2.会用代入消元法解二元一次方程组。...
胜利第三十四中学高炳智篮球联赛中,每场比赛都要分出胜负,每队胜一场得2分,负一场得1分。某队为了争取较好名次,想在全部22场比赛中得到...
第八章二元一次方程组8.28.2消元消元————解二元一解二元一次方程组(次方程组(11))问题重现,探究解法【问题1】篮球联赛中,每场比...
消元——解二元一次方程组(2)一、教材分析在学习本课之前,学生已经学过代入消元法解二元一次方程组,理解“消元”是核心,化归是目标,...
8.2消元—二元一次方程组的解法(第1课时)七年级数学下册(人教版)1、什么是二元一次方程,什么是二元一次方程组?2、什么是二元一次...
用代入消元法解二元一次方程组复习由两个一次方程组成并含有两个未知数的方程组叫做二元一次方程组方程组里各个方程的公共解叫做这个方程组...
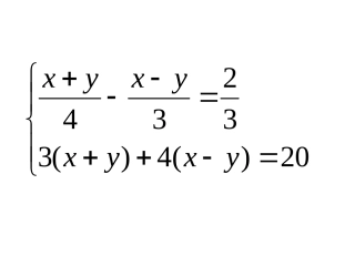
20)(4)(33234yxyxyxyx实际问题与二元一次方程组悟空顺风探妖踪,千里只行四分钟.逆风四分行六百,速度多少盖悟空?...
义务教育课程标准实验教科书数学·七年级·下册(泰山版)1.知道二元一次方程、二元一次方程组及其解的概念。2.学会判断一组数是不是二元一...
8.2.2消元——解二元一次方程组1.教学目标1.1知识与技能:会用加减消元解二元一次方程组,并掌握加减法解二元一次方程组的步骤1.2过程与方...
10.4三元一次方程组七年级(下册)初中数学1.1.了解三元一次方程组的含义了解三元一次方程组的含义..2.2.会用代入法或加减法解三元一会用代...
8.28.2消元消元————用代入法解二元一次方程组用代入法解二元一次方程组(第(第11课时课时))陈晓燕陈晓燕二元一次方程二元一次方程消元...
8.2消元——解二元一次方程组第1课时代入消元法R·七年级下册情景导入情景导入对于引言中的问题,我们在上节课通过设两个未知数(设胜x场,...

