电脑桌面
添加小米粒文库到电脑桌面
安装后可以在桌面快捷访问

函数的表示法VIP免费

函数的表示法_第1页
1/6
函数的表示法_第2页
2/6
函数的表示法_第3页
3/6
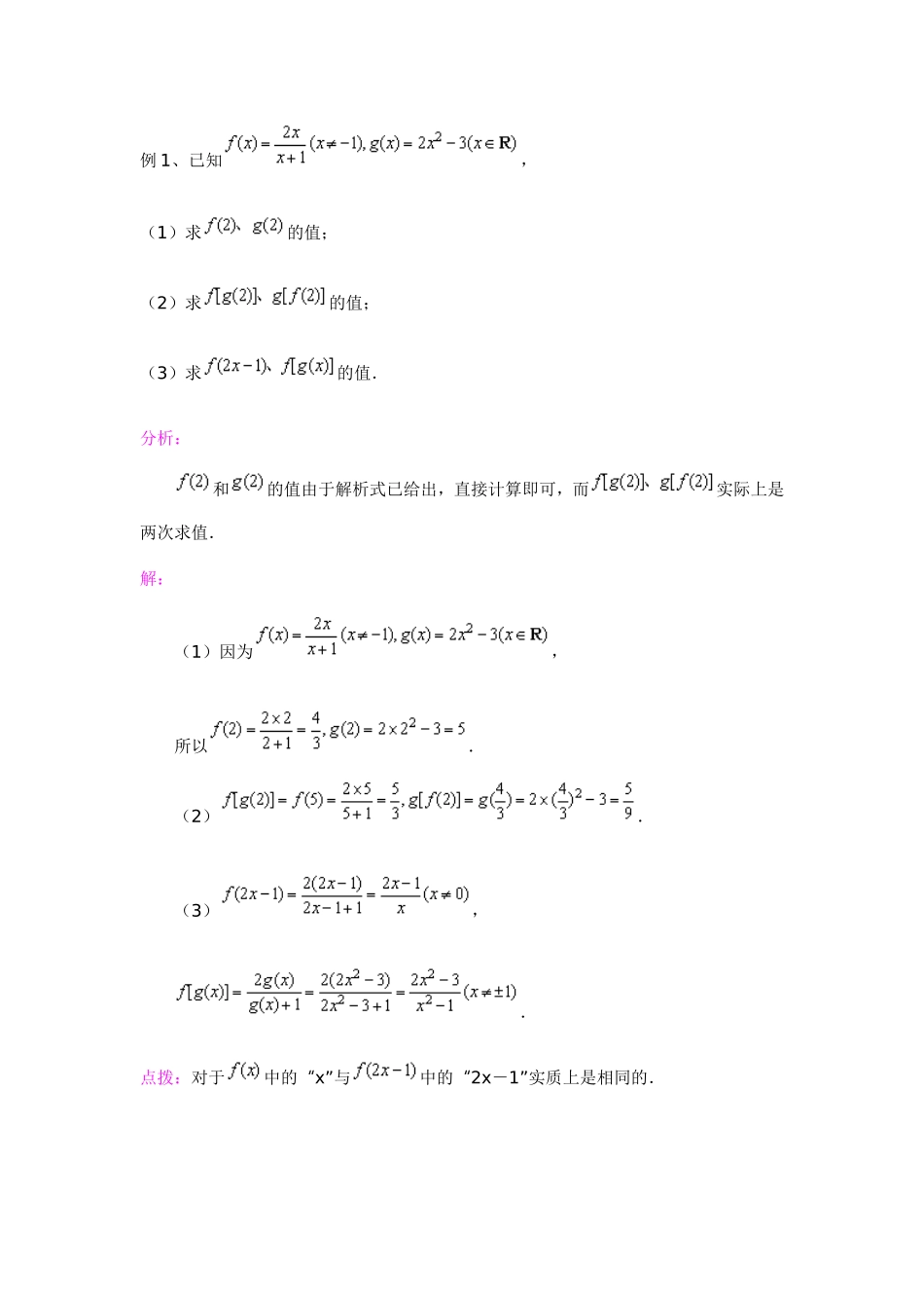
函数的表示法主讲:黄冈中学教师汤彩仙一、知识概述1、函数的定义:设A、B是两个非空数集,如果按照某种对应关系f,对于集合A中的任何一个元素,在集合B中都有唯一的元素和它对应,这样的对应(包括集合A、B以及A到B的对应法则f)叫做集合A到集合B的函数.记作:f:.说明:(1)函数的三要素:定义域、值域、对应关系(或对应法则);(2)函数符号表示“是的函数”,可简记为函数,有时也用.(3)的意义:自变量取确定的值时,对应的函数值用符号表示;(4)定义域:自变量的取值的集合,值域:函数值的集合;(5)两个函数相同:当且仅当函数的三要素全相同.2、区间的概念:设是两个实数,而且,规定:(1)满足不等式的实数的集合叫做闭区间,表示为;(2)满足不等式的实数的集合叫做开区间,表示为;(3)满足不等式或的实数的集合叫做半开半闭区间,表示为,.(4)满足,,,的实数的集合分别表示为,,,.3、函数常用的表示方法有三种:列表法、图象法、解析法,三种表示方法的比较.表示法定义优点缺点列表法通过列出自变量与对应函数值的表来表达函数关系的方法不需要计算就可以直接看出与自变量的值相对应的函数值它只能表示自变量可以一一列出的函数关系图像法利用“图形”表示函数的方法能形象直观地表示出函数的变化情况只能近似地求出自变量的值所对应的函数值,而且有时误差较大解析法如果在函数中,是用代数式(或解析式)来表达的,则这种表示函数的方法叫解析法(也称为公式法)一是简明、全面地概括了变量间的关系;二是可以通过解析式求出任意一个自变量的值所对应的函数值不够形象、直观、具体,而且并不是所有的函数都能用解析式表示出来4、函数的解析式的求法求函数的解析式的常用方法有:(1)代入法:如已知,求时,有.(2)待定系数法:已知的函数类型,要求的解析式时,可根据类型设其解析式,从而确定其系数即可.(3)拼凑法:已知的解析式,要求时,可从的解析式中拼凑出“”,即用来表示,再将解析式的两边的用x代替即可.(4)换元法:令,再求出的解析式,然后用x代替两边所有的t即可.二、例题讲解例1、已知,(1)求的值;(2)求的值;(3)求的值.分析:和的值由于解析式已给出,直接计算即可,而实际上是两次求值.解:(1)因为,所以.(2).(3),.点拨:对于中的“x”与中的“2x-1”实质上是相同的.例2、已知函数求和的表达式.解:当2x-1≥0,即时,;当2x-1<0,即时,.∴例3、已知,求的解析式.解法1:令,则,代入原式有,..解法2:,.即.例4、已知,求一次函数的解析式.解:因为一次函数,设,则.则由解得或或.例5、如果函数满足方程,且为常数,且,求.解:,①将x换成,则换成x,得,②由①、②消去即①×a-②得.,即.点拨:本题是利用方程思想,采用解方程的方法消去不需要的函数式子,而得到的表达式,此种方法称为消去法,也称为解方程法.例6、设是R上的函数,且满足f(0)=1,并且对任意实数x,y,有,求的解析式.解法一:设x=y,得.,即.解法二:令x=0,则.即.令-y=x,则有.点拨:(1)所给函数方程含有两个变量时,可对这两个变量交替用特殊值代入,或使这两个变量相等代入,再用已知条件,可求出未知的函数.至于取什么特殊值,根据题目特征而定.(2)通过取某些特殊值代入题设中的等式,可使问题具体化、简单化,从而顺利地找出规律,求出函数的解析式.

1、当您付费下载文档后,您只拥有了使用权限,并不意味着购买了版权,文档只能用于自身使用,不得用于其他商业用途(如 [转卖]进行直接盈利或[编辑后售卖]进行间接盈利)。
2、本站所有内容均由合作方或网友上传,本站不对文档的完整性、权威性及其观点立场正确性做任何保证或承诺!文档内容仅供研究参考,付费前请自行鉴别。
3、如文档内容存在违规,或者侵犯商业秘密、侵犯著作权等,请点击“违规举报”。

碎片内容

函数的表示法

您可能关注的文档

文章天下+ 关注
实名认证
内容提供者

各种文档应有尽有

相关文档

相关标签

确认删除?
VIP
微信客服
  • 扫码咨询
会员Q群
  • 会员专属群点击这里加入QQ群
客服邮箱
回到顶部