电脑桌面
添加小米粒文库到电脑桌面
安装后可以在桌面快捷访问

高考数学 4.1 平面向量的概念及其线性运算练习试题VIP免费

高考数学 4.1 平面向量的概念及其线性运算练习试题_第1页
1/10
高考数学 4.1 平面向量的概念及其线性运算练习试题_第2页
2/10
高考数学 4.1 平面向量的概念及其线性运算练习试题_第3页
3/10
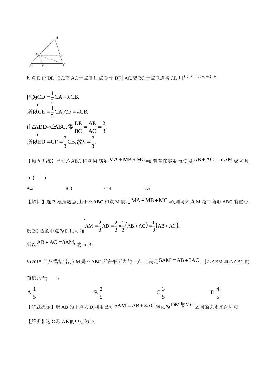
课时提升作业(二十四)平面向量的概念及其线性运算(25分钟50分)一、选择题(每小题5分,共35分)1.(2015·贵阳模拟)如图,正六边形ABCDEF中,BACDEF�=()A.B.BEC.ADD.CF�0【解析】选D.因为六边形ABCDEF是正六边形,所以BACDEFDECDEFCEEFCF�,故选D.2.(2015·石家庄模拟)已知a,b是两个非零向量,且|a+b|=|a|+|b|,则下列说法正确的是()A.a+b=0B.a=bC.a与b共线反向D.存在正实数λ,使a=λb【解析】选D.因为a,b是两个非零向量,且|a+b|=|a|+|b|.则a与b共线同向,故D正确.【误区警示】解答本题易误选B,若a=b,则|a+b|=|a|+|b|,反之不一定成立.3.已知AB�=a+2b,BC�=-5a+6b,CD�=7a-2b,则下列一定共线的三点是()A.A,B,CB.A,B,DC.B,C,DD.A,C,D【解析】选B.因为ADABBCCD�=3a+6b=3(a+2b)=3AB�,又AB�,AD�有公共点A.所以A,B,D三点共线.4.(2015·攀枝花模拟)在△ABC中,已知D是AB边上一点,1CDCACB,3�则实数λ=()2112A.B.C.D.3333【解析】选D.如图,D是AB边上一点,过点D作DEBC,∥交AC于点E,过点D作DFAC,∥交BC于点F,连接CD,则CDCECF.�1CDCACB,31CECA,CFCB.3DEAE2ADEABC,,BCAC322EDCFCB,.33���因为所以由∽得所以故【加固训练】已知△ABC和点M满足MAMBMC�=0,若存在实数m使得ABACmAM�成立,则m=()A.2B.3C.4D.5【解析】选B.根据题意,由于△ABC和点M满足MAMBMC�=0,则可知点M是三角形ABC的重心,设BC边的中点为D,则可知2211AMADABACABAC,3323�所以ABAC3AM,�故m=3.5.(2015·兰州模拟)若点M是△ABC所在平面内的一点,且满足5AMAB3AC�,则△ABM与△ABC的面积比为()1234A.B.C.D.5555【解题提示】取AB的中点为D,利用已知5AMAB3AC�转化为DMMC�与之间的关系求解即可.【解析】选C.取AB的中点为D,则由5AMAB3AC�得2AM2AD3ACAM,�2AMAD3ACAM,�即即2DM�=3MC�,又DM�与MC�有公共点M,故D,M,C三点共线,且3DMDC,5�即△ABM与△ABC两高之比为35,∶故面积之比为35.6.如图所示,在△ABC中,点O是BC的中点,过点O的直线分别交直线AB,AC于不同的两点M,N,若ABmAM,ACnAN,�则m+n的值为()A.1B.2C.3D.4【解析】选B.因为O是BC的中点,所以1AOABAC.2�又因为ABmAM,ACnAN,�所以mnAOAMAN.22�因为M,O,N三点共线,所以mn22=1,所以m+n=2.7.(2015·泉州模拟)已知D,E,F分别为△ABC的边BC,CA,AB的中点,且BC�=a,CA�=b,给出下列命题:①AD�=12a-b;②BE�=a+12b;③CF�=-12a+12b;④ADBECF�=0.其中正确的是()A.①②B.②③C.③④D.②③④【解析】选D.所以正确命题为②③④.二、填空题(每小题5分,共15分)8.在▱ABCD中,AB�=a,AD�=b,3ANNC�,M为BC的中点,则MN�=.(用a,b表示)【解析】如图所示.答案:【方法技巧】利用基底表示向量的方法在用基底表示向量时,要尽可能将向量转化到平行四边形或三角形中,运用平行四边形法则或三角形法则进行求解,同时要注意平面几何知识的综合运用,如利用三角形的中位线、相似三角形对应边成比例等性质,把未知向量用基底向量表示.【加固训练】(2014·海口模拟)在△ABC中,AB�=c,AC�=b,若点D满足BD2DC�,则AD�=.【解析】如图,因为在△ABC中,AB�=c,AC�=b,且点D满足BD2DC�,答案:23b+13c9.(2015·长春模拟)已知m,n满足|m|=2,|n|=3,|m-n|=17,则|m+n|=.【解题提示】利用向量加减法几何意义及平行四边形对角线与边的关系求解.【解析】由平行四边形的对角线与边的关系及|m-n|与|m+n|为以m,n为邻边的平行四边形的两条对角线的长,得|m-n|2+|m+n|2=2|m|2+2|n|2=26,又|m-n|=17,故|m+n|2=26-17=9,故|m+n|=3.答案:310.给出下列命题:①若A,B,C,D是不共线的四点,则ABDC�是四边形ABCD为平行四边形的充要条件;0a=0;②a=b③的充要条件是|a|=|b|且ab;∥④若a与b均为非零向量,则|a+b|与|a|+|b|一定相等.其中正确命题的序号是.【解析】①正确;②数乘向量的结果为向量,而不是实数,故不正确;③当a=b时|a|=|b|且ab,∥反之不成立,故错误;④当a,b不同向时不成立,故错误.答案:①(20分钟40分)1.(5分)已知A,B,C是平面上不共线的三点,O是△ABC的重...

1、当您付费下载文档后,您只拥有了使用权限,并不意味着购买了版权,文档只能用于自身使用,不得用于其他商业用途(如 [转卖]进行直接盈利或[编辑后售卖]进行间接盈利)。
2、本站所有内容均由合作方或网友上传,本站不对文档的完整性、权威性及其观点立场正确性做任何保证或承诺!文档内容仅供研究参考,付费前请自行鉴别。
3、如文档内容存在违规,或者侵犯商业秘密、侵犯著作权等,请点击“违规举报”。

碎片内容

高考数学 4.1 平面向量的概念及其线性运算练习试题

您可能关注的文档

文章天下+ 关注
实名认证
内容提供者

各种文档应有尽有

确认删除?
VIP
微信客服
  • 扫码咨询
会员Q群
  • 会员专属群点击这里加入QQ群
客服邮箱
回到顶部