电脑桌面
添加小米粒文库到电脑桌面
安装后可以在桌面快捷访问

2011年全国高中数学联赛一试模拟试题(2)及详细解答VIP免费

2011年全国高中数学联赛一试模拟试题(2)及详细解答_第1页
1/2
2011年全国高中数学联赛一试模拟试题(2)及详细解答_第2页
2/2
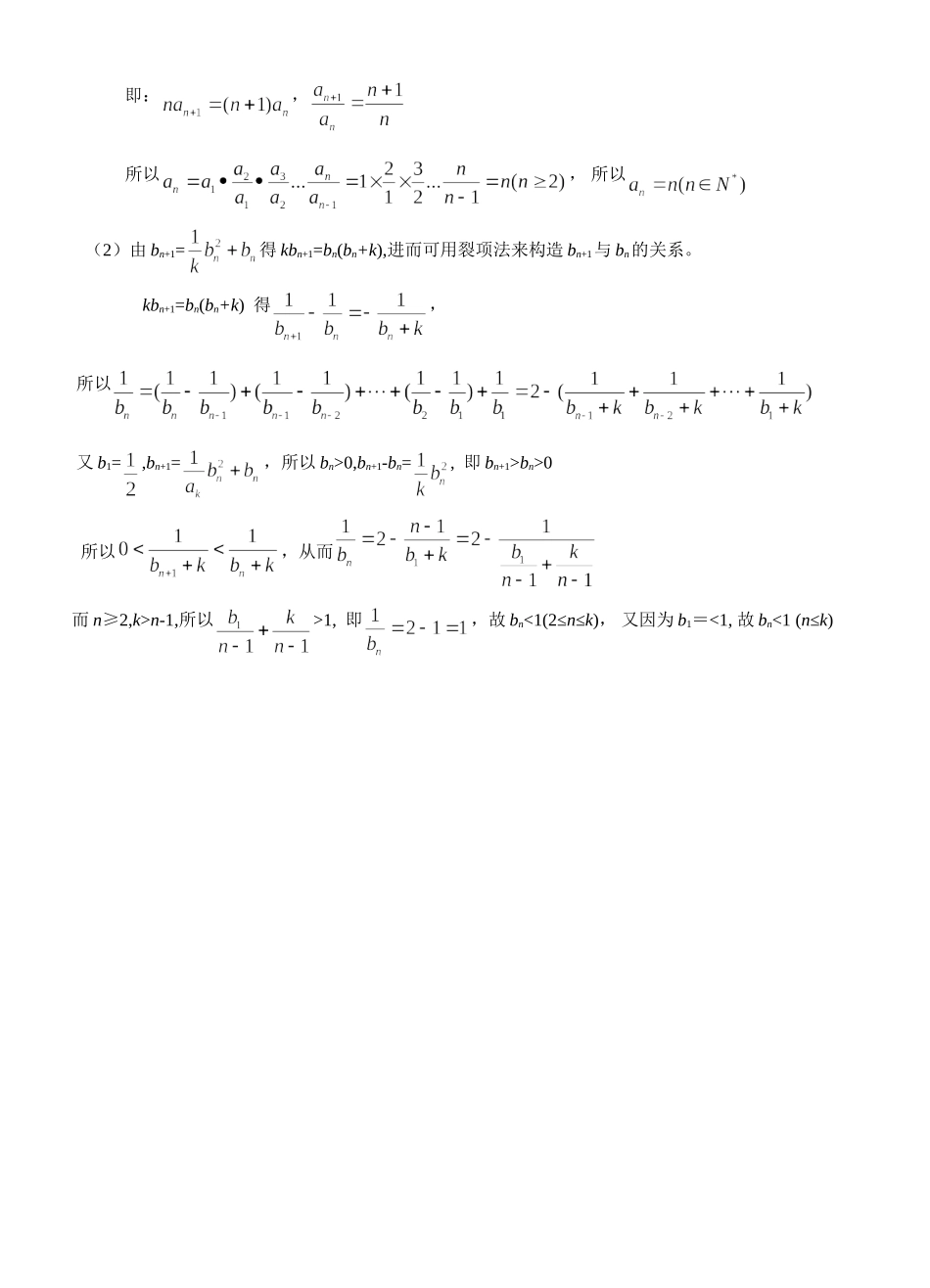
2011年全国高中数学联赛一试模拟试题(2)一、填空题:(每题7分,共70分)1.若cos(α-β)cosα+sin(α-β)sinα=-,又β∈(π,),则cos=____________2.已知,,,若△是以为直角顶点的等腰直角三角形,则△的面积为____________3.2012年伦敦奥运会足球赛预计共有24个球队参加比赛,第一轮分成6个组进行单循环赛在同一组的每两个队都要比赛),决出每个组的一、二名,然后又在剩下的12个队中按积分取4个队(不比赛),共计16个队进行淘汰赛来确定冠亚军,则一共需比赛的场次为_____________4.已知在正方体A1B1C1D1−ABCD中,点P是线段A1D(不包括线段端点)上的一点,则二面角P−BC−C1的取值范围是____________5.椭圆+y2=1的左右顶点分别为M,N,P为椭圆上任意一点,且直线PM的斜率的取值范围是[,2],则直线PN的斜率的取值范围是______________6.三个实数成等比数列,若,则的取值范围是__________7.已知曲线C:x2+y2=4(x≥0,y≥0)与函数f(x)=log2x,g(x)=2x的图像分别交于A(x1,y1),B(x1,y1),则x12+x22=__________8.已知函数f(x)=πsin,如果存在实数、,使得对任意的实数,都有,则|x1-x2|的最小值是____9.已知A,B是抛物线x2=2py(p>0)上的两个动点,O为坐标原点,非零向量满足|\s\up6(→)+\s\up6(→)|=|\s\up6(→)-\s\up6(→)|则直线经过一定点的坐标为10.当时,,则函数的最大值等于_________(“·”和“-”仍为通常的乘法和减法)二、解答题:(20分+30分+30分,共80分)15.(30分)已知数列{an}中,a1=1,nan+1=2(a1+a2+a3+…+an),n∈N*,(1)求数列{an}的通项公式;(2)设数列{bn}满足b1=,bn+1=·bn2+bn,求证:bn<1(n≤k)2011年全国高中数学联赛一试模拟试题(2)答案1、-;2、4;3、51;4、(,);5、[-,-];6、−1≤b≤且b≠0;7、4;8、4π;9、(0,2p);10、6;12、解(1)—得即:,所以,所以(2)由bn+1=得kbn+1=bn(bn+k),进而可用裂项法来构造bn+1与bn的关系。kbn+1=bn(bn+k)得,所以又b1=,bn+1=,所以bn>0,bn+1-bn=,即bn+1>bn>0所以,从而而n≥2,k>n-1,所以>1,即,故bn<1(2≤n≤k),又因为b1=<1,故bn<1(n≤k)

1、当您付费下载文档后,您只拥有了使用权限,并不意味着购买了版权,文档只能用于自身使用,不得用于其他商业用途(如 [转卖]进行直接盈利或[编辑后售卖]进行间接盈利)。
2、本站所有内容均由合作方或网友上传,本站不对文档的完整性、权威性及其观点立场正确性做任何保证或承诺!文档内容仅供研究参考,付费前请自行鉴别。
3、如文档内容存在违规,或者侵犯商业秘密、侵犯著作权等,请点击“违规举报”。

碎片内容

2011年全国高中数学联赛一试模拟试题(2)及详细解答

您可能关注的文档

教育精品店+ 关注
实名认证
内容提供者

优良的服务

确认删除?
VIP
微信客服
  • 扫码咨询
会员Q群
  • 会员专属群点击这里加入QQ群
客服邮箱
回到顶部