电脑桌面
添加小米粒文库到电脑桌面
安装后可以在桌面快捷访问

高考数学一轮总复习 三角函数、三角形、平面向量 专题04 三角函数的应用 文(含解析)-人教版高三全册数学试题VIP免费

高考数学一轮总复习 三角函数、三角形、平面向量 专题04 三角函数的应用 文(含解析)-人教版高三全册数学试题_第1页
1/22
高考数学一轮总复习 三角函数、三角形、平面向量 专题04 三角函数的应用 文(含解析)-人教版高三全册数学试题_第2页
2/22
高考数学一轮总复习 三角函数、三角形、平面向量 专题04 三角函数的应用 文(含解析)-人教版高三全册数学试题_第3页
3/22
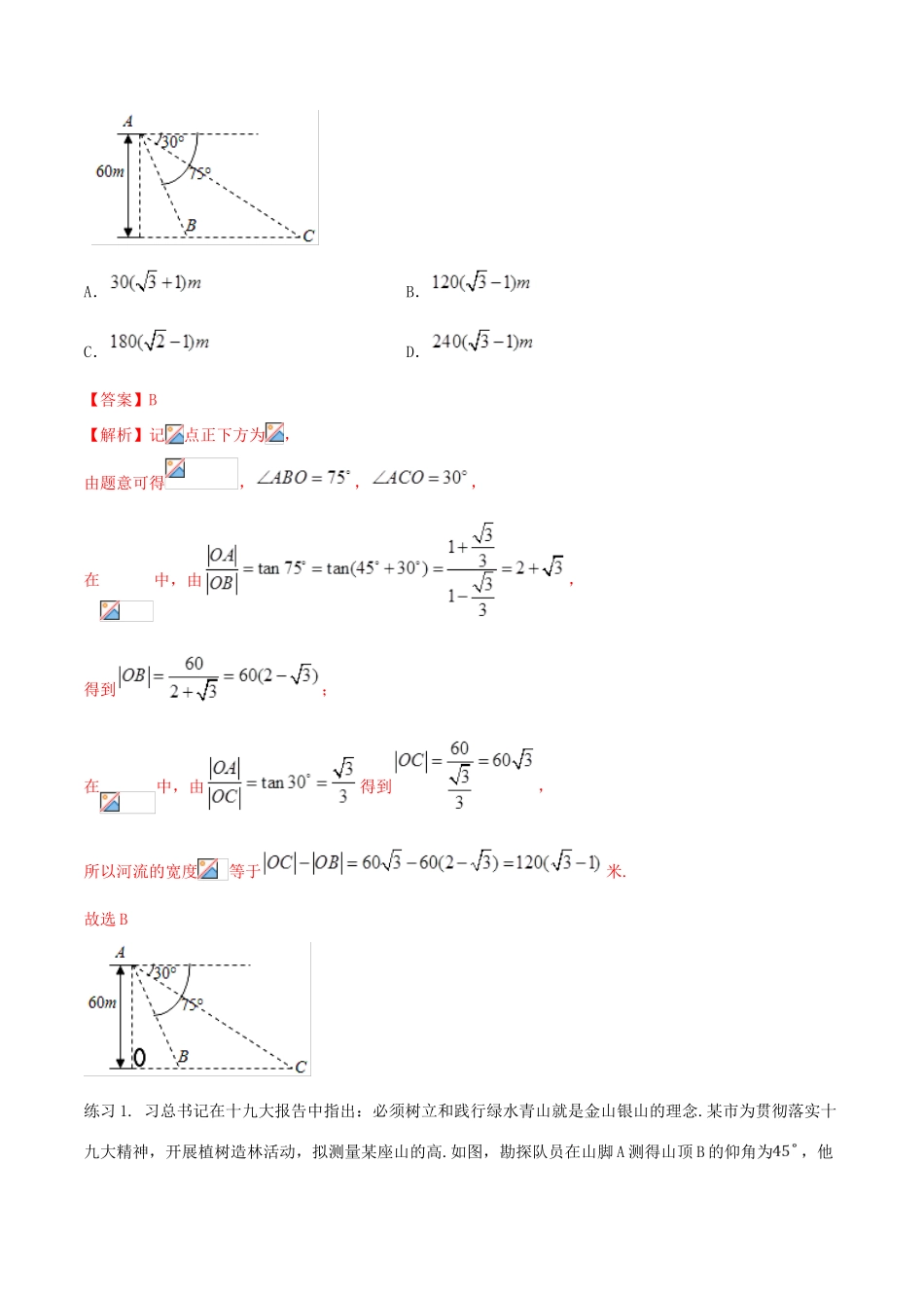
专题04三角函数的应用一、本专题要特别小心:1.图象的平移(把系数提到括号的前边后左加右减)2.图象平移要注意未知数的系数为负的情况3.图象的横坐标伸缩变换要注意是加倍还是变为几分之几4.五点作图法的步骤5.利用图象求周期6.已知图象求解析式二【学习目标】1.理解三角函数的定义域、值域和最值、奇偶性、单调性与周期性、对称性.2.会判断简单三角函数的奇偶性,会求简单三角函数的定义域、值域、最值、单调区间及周期.3.理解三角函数的对称性,并能应用它们解决一些问题.三.【方法总结】1.三角函数奇偶性的判断与其他函数奇偶性的判断步骤一致:(1)首先看定义域是否关于原点对称;(2)在满足(1)后,再看f(-x)与f(x)的关系.另外三角函数中的奇函数一般可化为y=Asinωx或y=Atanωx,偶函数一般可化为y=Acosωx+b的形式.2.三角函数的单调性(1)函数y=Asin(ωx+φ)(A>0,ω>0)的单调区间的确定,其基本思想是把ωx+φ看作一个整体,比如:由2kπ-≤ωx+φ≤2kπ+(k∈Z)解出x的范围,所得区间即为增区间.若函数y=Asin(ωx+φ)中A>0,ω<0,可用诱导公式将函数变为y=-Asin(-ωx-φ),则y=Asin(-ωx-φ)的增区间为原函数的减区间,减区间为原函数的增区间.对函数y=Acos(ωx+φ),y=Atan(ωx+φ)等单调性的讨论同上.(2)三角函数单调性的应用主要有比较三角函数值的大小,而比较三角函数值大小的一般步骤:①先判断正负;②利用奇偶性或周期性转化为属于同一单调区间上的两个同名函数;③再利用单调性比较.3.求三角函数的最值常见类型:(1)y=Asin(ωx+φ)+B或y=Atan(ωx+φ)+B,(2)y=A(sinx-a)2+B,(3)y=a(sinx±cosx)+bsinxcosx(其中A,B,a,b∈R,A≠0,a≠0).四.【题型方法】(一)利用三角函数测量应用例1.如图,从气球上测得正前方的河流的两岸,的俯角分别为,,此时气球的高是,则河流的宽度等于()A.B.C.D.【答案】B【解析】记点正下方为,由题意可得,,,在中,由,得到;在中,由得到,所以河流的宽度等于米.故选B练习1.习总书记在十九大报告中指出:必须树立和践行绿水青山就是金山银山的理念.某市为贯彻落实十九大精神,开展植树造林活动,拟测量某座山的高.如图,勘探队员在山脚A测得山顶B的仰角为,他沿着倾斜角为的斜坡向上走了40米后到达C,在C处测得山顶B的仰角为,则山高约为______米.(结果精确到个位,在同一铅垂面).参考数据:.【答案】【解析】过C做CM⊥BD于M,CN⊥AD于N,设BM=h,则CM=,解得h=20(),∴BD=h+20(二)与圆有关的三角函数应用例2.如图,A,B是半径为2的圆周上的定点,P为圆周上的动点,是锐角,大小为β.图中阴影区域的面积的最大值为A.4β+4cosβB.4β+4sinβC.2β+2cosβD.2β+2sinβ【答案】B【解析】观察图象可知,当P为弧AB的中点时,阴影部分的面积S取最大值,此时∠BOP=∠AOP=π-β,面积S的最大值为+S△POB+S△POA=4β+.故选:B.练习1.如图,四边形内接于圆,若,,,则的最大值为()A.B.C.D.【答案】C【解析】做于点E,,在直角三角形中,可得到根据该四边形对角互补得到在三角形ABD中,应用余弦定理得到在三角形DCB中,应用余弦定理以及重要不等式得到进而得到故答案为:C.练习2.位于潍坊滨海的“滨海之眼”摩天轮是世界上最高的无轴摩天轮,该摩天轮的直径均为124米,中间没有任何支撑,摩天轮顺时针匀速旋转一圈需要30分钟,当乘客乘坐摩天轮到达最高点时,距离地面145米,可以俯瞰白浪河全景,图中与地面垂直,垂足为点,某乘客从处进入处的观景舱,顺时针转动分钟后,第1次到达点,此时点与地面的距离为114米,则()A.16分钟B.18分钟C.20分钟D.22分钟【答案】C【解析】根据题意,作,,如下图所示:直径为,则,所以则所以,即所以因为摩天轮顺时针匀速旋转一圈需要30分钟所以从A到B所需时间为分钟所以选C练习3.定义在封闭的平面区域内任意两点的距离的最大值称为平面区域的“直径”.已知锐角三角形的三个顶点在半径为1的圆上,且,分别以各边为直径向外作三个半圆,这三个半圆和构成平面区域,则平面区域的“直径”的最大值是__________.【答案】【解析】设三个半圆...

1、当您付费下载文档后,您只拥有了使用权限,并不意味着购买了版权,文档只能用于自身使用,不得用于其他商业用途(如 [转卖]进行直接盈利或[编辑后售卖]进行间接盈利)。
2、本站所有内容均由合作方或网友上传,本站不对文档的完整性、权威性及其观点立场正确性做任何保证或承诺!文档内容仅供研究参考,付费前请自行鉴别。
3、如文档内容存在违规,或者侵犯商业秘密、侵犯著作权等,请点击“违规举报”。

碎片内容

高考数学一轮总复习 三角函数、三角形、平面向量 专题04 三角函数的应用 文(含解析)-人教版高三全册数学试题

您可能关注的文档

慧源书店+ 关注
实名认证
内容提供者

从事历史教学,热爱教育,高度负责。

相关文档

确认删除?
VIP
微信客服
  • 扫码咨询
会员Q群
  • 会员专属群点击这里加入QQ群
客服邮箱
回到顶部