电脑桌面
添加小米粒文库到电脑桌面
安装后可以在桌面快捷访问

第4课时——3.1复习课(教师)

第4课时——3.1复习课(教师)_第1页
1/6
第4课时——3.1复习课(教师)_第2页
2/6
第4课时——3.1复习课(教师)_第3页
3/6
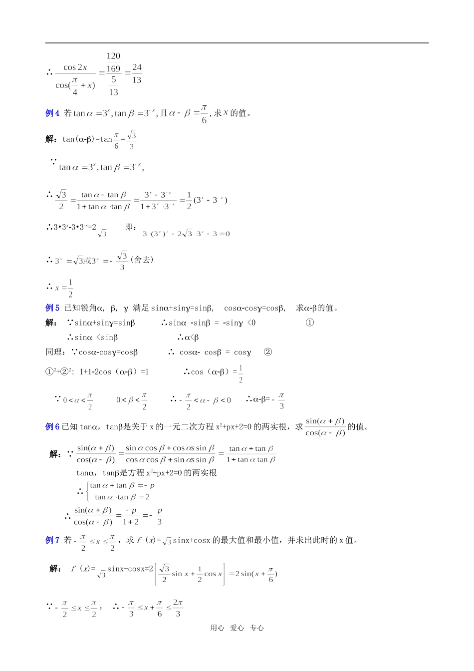
3.1 复习课【学习导航】知识网络 学习要求 1、公式正用要善于拆角;逆用要构造公式结构;变用要抓住公式结构2、化简(1)化简目标:项数尽量少(2)化简基本方法:异角化同角;异名化同名;切割化弦;常值代换3、求值(1)求值问题的基本类型:给角求值;给值求值;给值求角;给式求值(2)技巧与方法:切割化弦、异角化同角、异名化同名、角的变换4、证明(1)证明基本方法:化繁为简法、左右归一法、变更命题法注意:条件等式的证明关键在于分析已知条件与求证结论之间的差异与联系。总之,无论是化简、求值还是证明都要注意:角度的特点、函数名称的特点;其中切弦互化是常用手段;三角变换公式要灵活应用,注意角的范围对解题的影响。学习重点 两角和与差的余弦、正弦、正切公式奎屯王新敞新疆学习难点 灵活应用和、差角公式进行化简、求值、证明奎屯王新敞新疆 【自学评价】两角和与差的正、余弦公式 【精典范例】例 1 求值:(1)(2)sin18°和 cos36°选题意图:考查两角和与差三角函数公式的应用和三角函数关系式的变形能力。解:(1)原式用心 爱心 专心T SCSCT 以代 以代 相除 相除 (2) sin36°=cos54°即 sin(2×18°)=cos(3×18°)2sin18°cos18°=4cos318°-3cos18° cos18°≠0∴2sin18°=4cos218°-3整理得 4sin218°+2sin18°-1=0说明:本题通过二倍角和三倍角公式构造了关于 sin18°的方程求解,但利用 sin54°=cos36°很难解出sin18°。在解决三角函数问题的过程中也要适当注意一些代数方法的使用。例 2 已知,,,求 sin2的值 解: , ∴ , ∴∴ 又, ∴∴sin2= =例 3 已知 , 求的值解: 即: ∴ 从而而用心 爱心 专心∴例 4 若且,求的值。 解:tan()=tan= ∴∴3•3x3•3x=2 即:∴(舍去) ∴例 5 已知锐角, ,  满足 sin+sin=sin, coscos=cos, 求的值。 解: sin+sin=sin ∴sin sin = sin <0 ① ∴sin

1、当您付费下载文档后,您只拥有了使用权限,并不意味着购买了版权,文档只能用于自身使用,不得用于其他商业用途(如 [转卖]进行直接盈利或[编辑后售卖]进行间接盈利)。
2、本站所有内容均由合作方或网友上传,本站不对文档的完整性、权威性及其观点立场正确性做任何保证或承诺!文档内容仅供研究参考,付费前请自行鉴别。
3、如文档内容存在违规,或者侵犯商业秘密、侵犯著作权等,请点击“违规举报”。

碎片内容

第4课时——3.1复习课(教师)

您可能关注的文档

文章天下+ 关注
实名认证
内容提供者

各种文档应有尽有

相关文档

确认删除?
微信客服
  • 扫码咨询
会员Q群
  • 会员专属群点击这里加入QQ群