电脑桌面
添加小米粒文库到电脑桌面
安装后可以在桌面快捷访问

高考数学 数列专题复习二 数列求和素材(教师版)

高考数学 数列专题复习二 数列求和素材(教师版)_第1页
1/8
高考数学 数列专题复习二 数列求和素材(教师版)_第2页
2/8
高考数学 数列专题复习二 数列求和素材(教师版)_第3页
3/8
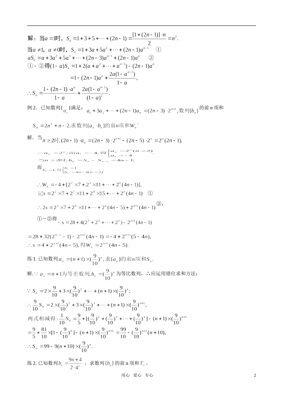
数列专题复习二 数列求和(教师版)基本公式法:等差数列求和公式: 等比数列求和公式:* ;* ; 错位相消法:给各边同乘以一个适当的数或式,然后把所得的等式和原等式相减,对应项相互抵消,最后得出前项和. 一般适应于数列的前向求和,其中成等差数列,成等比数列。分组求和:把一个数列分成几个可以直接求和的数列,然后利用公式法求和。拆项(裂项)求和:把一个数列的通项公式分成两项差的形式,相加过程中消去中间项,只剩下有限项再求和.常见的拆项公式有:若是公差为的等差数列,则;;* ;;* ;倒序相加法:根据有些数列的特点,将其倒写后与原数列相加,以达到求和的目的。导数法:灵活利用求导法则有时也可以完成数列求和问题的解答.递推法.奇偶分析法.一.基本公式法例 1. 练 1. 练 2. = 二.错位相消法例用心 爱心 专心1例 2.已知数列{}满足:的前 n 项和 .解.当而②,①-②得练 1. 已知数列解. 为等比数列,∴应运用错位求和方法:练 2. 已知数列 ,求数列的前 n 项和。用心 爱心 专心2①解:21 132294[],2 444nnnT 1122944[13],244nnnT两式相减得12321991999419419443[13][13]8,12444242214nnnnnnnnnnT 故 2321813.33 22nnnnT 三.分组求和法例 1.求数列 1, , 前 n 项的和.例 2. 已知数列的通项,求其前项和练 1. 数列的前 n 项和为 练 2. 已知:.求.解. 当 为正奇数时,当 为正偶数时,综上知,注意按 的奇偶性讨论!练 3. 已知等比数列分别是某等差数列的第 5 项、第 3 项、第 2 项,且 (Ⅰ)求; (Ⅱ)设,求数列用心 爱心 专心3解析:(I)依题意(II)练 4*. 求数列 5,55,555,…,55 … 5 的前 n 项和 Sn解: 因为 55 … 5= 所以 Sn=5+55+555+…+55 … 5 = = =四.裂项相消法例 1. 数列{}的前 n 项和为,且满足(I)求与的关系式,并求{}的通项公式;(II)求和解.(I)用心 爱心 专心4nn(II)练 1、设数列的前 n 项和为,点均在函数 y=3x-2 的图像上.(1)求数列的通项公式; (2)设,是数列的前 n 项和,求使得对所有都成立的最小正整数 m.练 2. 求数列,,,,…的前项和.练 3. 已知数列的通项公式,求它的前 n 项和.例 2.设(1)若(2)若解:(1)是公差为 9 的等差数列,(2)练 4、数列的通项公...

1、当您付费下载文档后,您只拥有了使用权限,并不意味着购买了版权,文档只能用于自身使用,不得用于其他商业用途(如 [转卖]进行直接盈利或[编辑后售卖]进行间接盈利)。
2、本站所有内容均由合作方或网友上传,本站不对文档的完整性、权威性及其观点立场正确性做任何保证或承诺!文档内容仅供研究参考,付费前请自行鉴别。
3、如文档内容存在违规,或者侵犯商业秘密、侵犯著作权等,请点击“违规举报”。

碎片内容

高考数学 数列专题复习二 数列求和素材(教师版)

您可能关注的文档

确认删除?
VIP
微信客服
  • 扫码咨询
会员Q群
  • 会员专属群点击这里加入QQ群
客服邮箱
回到顶部