电脑桌面
添加小米粒文库到电脑桌面
安装后可以在桌面快捷访问

(浙江专用)高考数学一轮复习讲练测 专题1.5 函数y=Asin(ωx+φ)的图象及三角函数模型的简单应用(讲)(含解析)-人教版高三全册数学试题VIP免费

(浙江专用)高考数学一轮复习讲练测 专题1.5 函数y=Asin(ωx+φ)的图象及三角函数模型的简单应用(讲)(含解析)-人教版高三全册数学试题_第1页
1/18
(浙江专用)高考数学一轮复习讲练测 专题1.5 函数y=Asin(ωx+φ)的图象及三角函数模型的简单应用(讲)(含解析)-人教版高三全册数学试题_第2页
2/18
(浙江专用)高考数学一轮复习讲练测 专题1.5 函数y=Asin(ωx+φ)的图象及三角函数模型的简单应用(讲)(含解析)-人教版高三全册数学试题_第3页
3/18
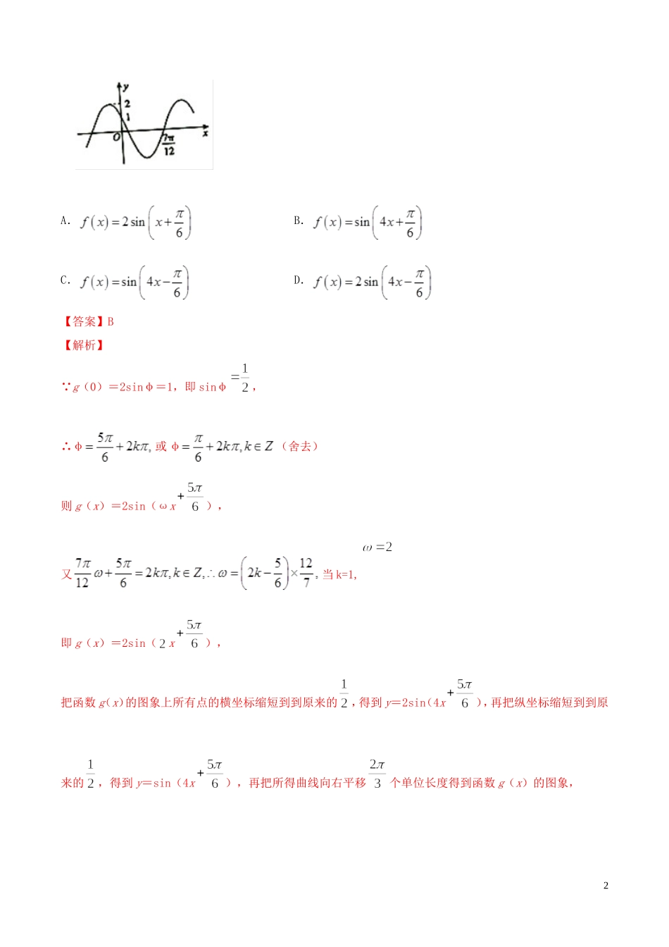
第05讲函数y=Asin(ωx+φ)的图象及三角函数模型的简单应用---讲1.了解函数y=Asin(ωx+φ)的物理意义,掌握y=Asin(ωx+φ)的图象,了解参数A,ω,φ对函数图象变化的影响.2.高考预测:(1)“五点法”作图;(2)函数图象的变换;(3)三角函数模型的应用问题.(4)往往将恒等变换与图象和性质结合考查5.备考重点:(1)掌握函数图象的变换;(2)掌握三角函数模型的应用.知识点1.求三角函数解析式(1)的有关概念,0,x表示一个振动量时振幅周期频率相位初相A2Tx(2)用五点法画一个周期内的简图用五点法画一个周期内的简图时,要找五个关键点,如下表所示:x2322x023220A0-A0【典例1】(2019·广东高考模拟(理))把函数的图象向左平移个单位长度,再把所得的图象上每个点的横、纵坐标都变为原来的2倍,得到函数的图象,并且的图象如图所示,则的表达式可以为()1A.B.C.D.【答案】B【解析】 g(0)=2sinφ=1,即sinφ,∴φ或φ(舍去)则g(x)=2sin(ωx),又当k=1,即g(x)=2sin(x),把函数g(x)的图象上所有点的横坐标缩短到到原来的,得到y=2sin(4x),再把纵坐标缩短到到原来的,得到y=sin(4x),再把所得曲线向右平移个单位长度得到函数g(x)的图象,2即g(x)=sin[(x-)]=故选:B.【总结提升】1.由的图象求其函数式:已知函数的图象求解析式时,常采用待定系数法,由图中的最高点、最低点或特殊点求A;由函数的周期确定;确定常根据“五点法”中的五个点求解,其中一般把第一个零点,0作为突破口,可以从图象的升降找准第一个零点的位置.2.利用图象变换求解析式:由sinyx的图象向左0或向右0平移个单位,,得到函数,将图象上各点的横坐标变为原来的1倍(0),便得,将图象上各点的纵坐标变为原来的A倍(0A),便得.【变式1】(2018安徽省六安市寿县第一中学上学期第一次月考)函数的部分图象如图所示,将的图象向左平移个单位后的解析式为()3A.B.C.D.【答案】B【解析】根据函数的部分图象知,,解得,根据五点法画正弦函数图象,知时,,解得,将的图象向左平移个单位后,得到,故选B.知识点2.三角函数图象的变换1.函数图象的变换(平移变换和上下变换)平移变换:左加右减,上加下减把函数yfx向左平移0个单位,得到函数的图象;把函数yfx向右平移0个单位,得到函数的图象;把函数yfx向上平移0个单位,得到函数的图象;把函数yfx向下平移0个单位,得到函数的图象.4伸缩变换:把函数yfx图象的纵坐标不变,横坐标伸长到原来的1,得到函数的图象;把函数yfx图象的纵坐标不变,横坐标缩短到原来的1,得到函数的图象;把函数yfx图象的横坐标不变,纵坐标伸长到原来的A,得到函数的图象;把函数yfx图象的横坐标不变,纵坐标缩短到原来的A,得到函数的图象.2.由sinyx的图象变换出0的图象一般有两个途径,只有区别开这两个途径,才能灵活进行图象变换,利用图象的变换作图象时,提倡先平移后伸缩,但先伸缩后平移也经常出现无论哪种变形,请切记每一个变换总是对字母x而言,即图象变换要看“变量”起多大变化,而不是“角变化”多少.途径一:先平移变换再周期变换(伸缩变换)先将sinyx的图象向左0或向右0平移个单位,再将图象上各点的横坐标变为原来的1倍(0),便得的图象.途径二:先周期变换(伸缩变换)再平移变换:先将sinyx的图象上各点的横坐标变为原来的1倍(0),再沿x轴向左(0)或向右(0)平移||个单位,便得的图象.注意:函数的图象,可以看作把曲线sinyx上所有点向左(当0时)或向右(当0时)平行移动个单位长度而得到.【典例2】(2019·内蒙古高考模拟(文))要得到函数的图象,只需将函数5的图象()A.向左平移个单位B.向右平移个单位C.向左平移个单位D.向右平移个单位【答案】C【解析】函数=sin(2x)=sin2(x),故把函数的图象向...

1、当您付费下载文档后,您只拥有了使用权限,并不意味着购买了版权,文档只能用于自身使用,不得用于其他商业用途(如 [转卖]进行直接盈利或[编辑后售卖]进行间接盈利)。
2、本站所有内容均由合作方或网友上传,本站不对文档的完整性、权威性及其观点立场正确性做任何保证或承诺!文档内容仅供研究参考,付费前请自行鉴别。
3、如文档内容存在违规,或者侵犯商业秘密、侵犯著作权等,请点击“违规举报”。

碎片内容

(浙江专用)高考数学一轮复习讲练测 专题1.5 函数y=Asin(ωx+φ)的图象及三角函数模型的简单应用(讲)(含解析)-人教版高三全册数学试题

确认删除?
VIP
微信客服
  • 扫码咨询
会员Q群
  • 会员专属群点击这里加入QQ群
客服邮箱
回到顶部