电脑桌面
添加小米粒文库到电脑桌面
安装后可以在桌面快捷访问

高中数学 导数的几何意义优质课件(选修1 1) 课件VIP免费

高中数学 导数的几何意义优质课件(选修1 1) 课件高中数学 导数的几何意义优质课件(选修1 1) 课件高中数学 导数的几何意义优质课件(选修1 1) 课件高中数学 导数的几何意义优质课件(选修1 1) 课件高中数学 导数的几何意义优质课件(选修1 1) 课件
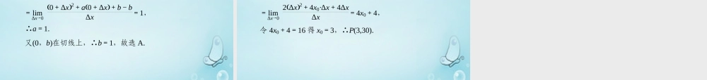
1.导数的几何意义 (1)割线斜率与切线斜率 设函数 y=f(x)的图象如图所示,AB 是过 点 A(x0,f(x0))与点 B(x0+Δx,f(x0+Δx)) 的一条割线,此割线的斜率是ΔyΔx= . 当点 B 沿曲线趋近于点 A 时,割线 AB 绕点 A 转动,它的极限位置为直线 AD,这条直线 AD 叫做此曲线在点 A 处的 .于是,当 Δx→0 时,割线 AB 的斜率无限趋近于过点 A 的切线 AD 的斜率 k,即 k= = . fx0+Δx-fx0Δx f′(x0) limΔx→0 fx0+Δx-fx0Δx 切线 (2)导数的几何意义 函数 y=f(x)在点 x0处的导数的几何意义是曲线 y=f(x)在点P(x0,f(x0))处的切线的 .也就是说,曲线 y=f(x)在点P(x0,f(x0))处的切线的斜率是 .相应地,切线方程为 . 2.函数的导数 当 x=x0时,f′(x0)是一个确定的数,则当 x 变化时,f′(x)是 x 的一个函数,称 f′(x)是 f(x)的导函数(简称导数).f′(x) 也记作 y′,即 f′(x)=y′= . f′(x0) y - f(x0) = f′(x0)(x - x0)limΔx→0 fx+Δx-fxΔx 斜率 探究点一 导数的几何意义 问题 1 如图,当点 Pn(xn,f(xn))(n=1,2,3,4)沿着曲线 f(x)趋近于点 P(x0,f(x0))时,割线 PPn 的变化趋势是什么? 答案 当点 Pn趋近于点 P 时,割线 PPn趋近于确定的位置.这个确定位置的直线 PT 称为点 P 处的切线. 问题 2 曲线的切线是不是一定和曲线只有一个 交点? 答案 不一定.曲线的切线和曲线不一定只有一个交点,和曲线只有一个交点的直线和曲线也不一定相切.如图,曲线的切线是通过逼近将割线趋于确定位置的直线. 例1 如图,它表示跳水运动中高度随时间变 化的函数 h(t)=-4.9t2+6.5t+10 的图象.根 据图象,请描述、比较曲线 h(t)在 t0,t1,t2 附近的变化情况. 解 我们用曲线 h(t)在 t0,t1,t2 处的切线,刻画曲线 h(t)在上述三个时刻附近的变化情况. (1)当 t=t0 时,曲线 h(t)在 t0 处的切线 l0 平行于 t 轴.所以,在t=t0 附近曲线比较平坦,几乎没有升降. (2)当 t=t1 时,曲线 h(t)在 t1 处的切线 l1 的斜率 h′(t1)<0.所以,在 t=t1 附近曲线下降,即函数 h(t)在 t=t1 附近单调递减. (3)当 t=t2 时,曲线 h(t)在 t2 处的切线 l2 的斜率 h′(t2)<0.所以,在 t=t2附近曲线下降,即函数 h(t)在 t=t2附近也单调递减. 从图中可以看出,直线 l1...

1、当您付费下载文档后,您只拥有了使用权限,并不意味着购买了版权,文档只能用于自身使用,不得用于其他商业用途(如 [转卖]进行直接盈利或[编辑后售卖]进行间接盈利)。
2、本站所有内容均由合作方或网友上传,本站不对文档的完整性、权威性及其观点立场正确性做任何保证或承诺!文档内容仅供研究参考,付费前请自行鉴别。
3、如文档内容存在违规,或者侵犯商业秘密、侵犯著作权等,请点击“违规举报”。

碎片内容

高中数学 导数的几何意义优质课件(选修1 1) 课件

您可能关注的文档

圣贤书屋+ 关注
实名认证
内容提供者

热爱教学事业,对互联网知识分享很感兴趣

确认删除?
VIP
微信客服
  • 扫码咨询
会员Q群
  • 会员专属群点击这里加入QQ群
客服邮箱
回到顶部