圆锥曲线中的离心率问题离心率两大考点:求值、求范围求值: 1. 利用 a 与 c 的关系式(或齐次式)2. 几何法3. 与其它知识点结合求...
nnnnnnnnnnnnnnnnnnnnnnnn.nnnnnnnnnnn(□□□□□□□{OU1D2D3D4D5D):x=(1-2y)/(y-1)屈叮 ya1□□□一.观察法nnnnnnnnnnnnnnnnnnnnnnnnnn...
浅析函数极限的求法摘要极限是数学分析的一个重要组成部分,它以各种形式出现且贯穿在全部容之中, 因此,掌握好极限的求解方法是学习数学...
椭圆离心率的解法一、运用几何图形中线段的几何意义。基础题目:如图,O 为椭圆的中心,F 为焦点,A 为顶点,准线 L 交 OA 于 B,P...
本科生毕业论文(设数列极限的几种求法目录1 引言 1● A 基础理论○ B 应用讨论○ C 调查报告○ D 其他2 关于数列极限两种最常...
数列通项公式的十种求法一、公式法例 1 已知数列满足,,求数列的通项公式。解:两边除以,得,则,故数列是 以为 首 项 , 以为 ...
广义逆矩阵的求法探讨the seeking of the dharma and research into generalized inverse matrix毕业设计(论文)原创性声明和使...
个性化教学辅导教案教案课题函数的单调性老师学生××××上课日期2024.8.3学科数学适用年级高一教材版本人教版 A学习目标1. 掌握用定义...
函 数 解 析 式 的 七 种 求 法一、待定系数法: 在 已 知 函 数 解 析式 的 构 造 时 , 可 用 待 定 系 数 ...
函数 一、 函数的定义域与求法 1、 分式的分母≠0;偶次方根的被开方数≥0; 2、 对数函数的真数>0;对数函数的底数>0 且≠1; 3...
一、 函数的定义域与求法[例题]:1、 求下列函数的定义域3、已知函数 y=lg(mx2-4mx+m+3)的定义域为 R,数 m 的取值围.[解析]:[利用...
函数最值的几种求法新课程标准中,高中数学知识更加丰富,层次性更强,和高等教育的结合更加紧密.要想较好的完成新课标的教学任务,必须从整体...
函数定义域、值域求法总结(一)求函数定义域1、函数定义域是函数自变量的取值的集合,一般要求用集合或区间来表示;2、常见题型是由解析式...
高中函数定义域和值域的求法总结一、常规型即给出函数的解析式的定义域求法,其解法是由解析式有意义列出关于自变量的不等式或不等式组,解...
函数定义域、值域求法总结一、定义域是函数中的自变量 x 的围。求函数的定义域需要从这几个方面入手: (1)分母不为零 (2)偶次根式...
高中函数定义域和值域的求法总结一、常规型即给出函数的解析式的定义域求法,其解法是由解析式有意义列出关于自变量的不等式或不等式组,解...
《函数值域的常用求法》发表在《学习报》2024-2024 第 2 期总第 1114 期 第 2 版 2010 年7 月 9 日国统一刊号 CN14-00708/(F...
函数值域的求法大全题型一 求函数值:特别是分段函数求值例 1 已知 f(x)=(x∈R,且 x≠-1),g(x)=x2+2(x∈R).(1)求 f(2),g(2)的...
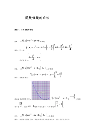
函数值域的求法题型一:二次函数的值域例1.求f ( x)=x2−ax+6 的值域解答:配方法:f ( x)=x2−ax+6=(x−a2)2+6−a24 ≥6−a24 所...
函数值域求法十一种在函数的三要素中,定义域和值域起决定作用,而值域是由定义域和对应法则共同确定。讨论函数的值域,不但要重视对应法则...

