电脑桌面
添加小米粒文库到电脑桌面
安装后可以在桌面快捷访问

版高考数学一轮复习 核心素养测评五十八 10.9.1 圆锥曲线中的定值与定点问题 文(含解析)北师大版-北师大版高三全册数学试题VIP免费

版高考数学一轮复习 核心素养测评五十八 10.9.1 圆锥曲线中的定值与定点问题 文(含解析)北师大版-北师大版高三全册数学试题_第1页
1/4
版高考数学一轮复习 核心素养测评五十八 10.9.1 圆锥曲线中的定值与定点问题 文(含解析)北师大版-北师大版高三全册数学试题_第2页
2/4
版高考数学一轮复习 核心素养测评五十八 10.9.1 圆锥曲线中的定值与定点问题 文(含解析)北师大版-北师大版高三全册数学试题_第3页
3/4
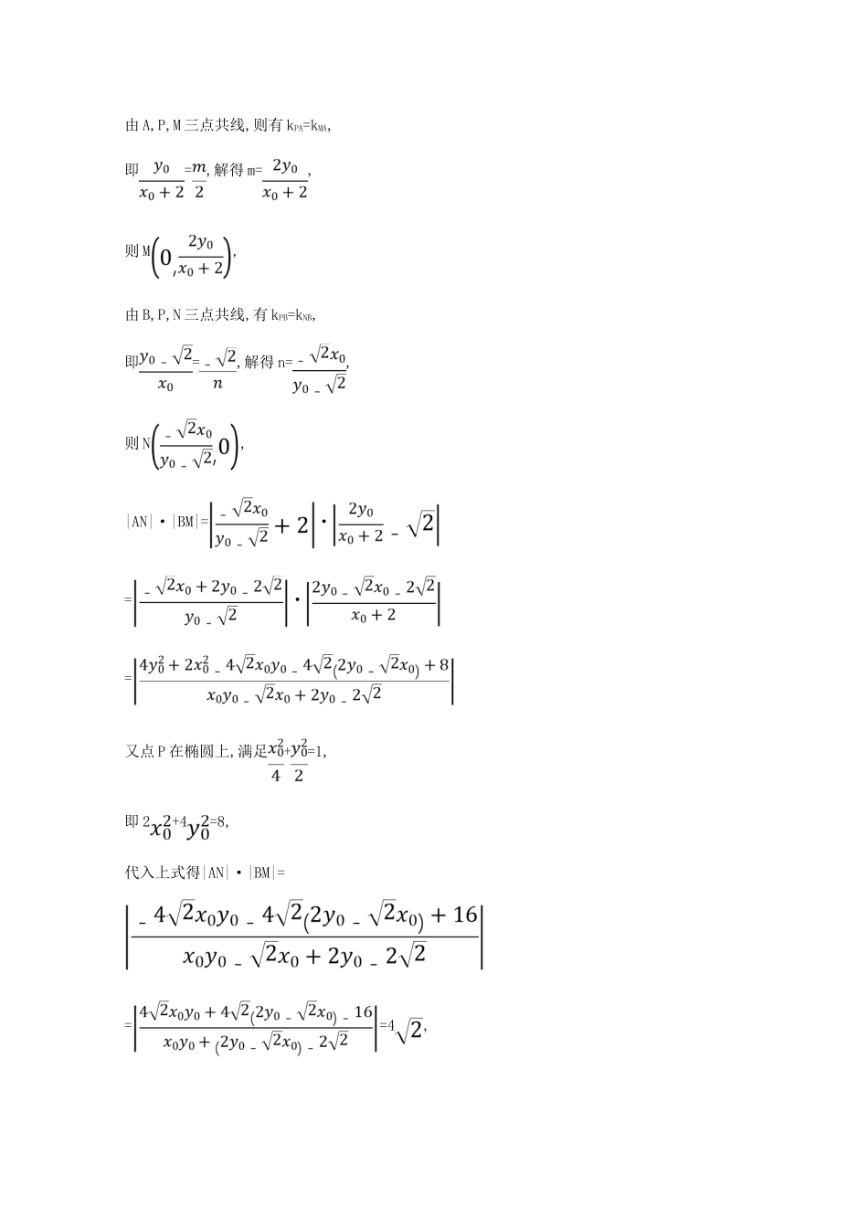
核心素养测评五十八圆锥曲线中的定值与定点问题1.(2020·北京模拟)已知椭圆C:+y2=1(a>1)的离心率为.(1)求椭圆C的方程.(2)设直线l过点M(1,0)且与椭圆C相交于A,B两点.过点A作直线x=3的垂线,垂足为D.证明直线BD过x轴上的定点.【解析】(1)由题意可得,解得a=,b=1,所以椭圆C的方程为+y2=1.(2)直线BD恒过x轴上的定点(2,0).证明如下:①当直线l斜率不存在时,直线l的方程为x=1,不妨设A,B,D.此时,直线BD的方程为:y=(x-2),所以直线BD过定点(2,0).②当直线l的斜率存在时,设A(x1,y1),B(x2,y2),直线AB的方程为y=k(x-1),D(3,y1).由,得:(1+3k2)x2-6k2x+3k2-3=0.所以x1+x2=,x1x2=.……(*)直线BD的方程为:y-y1=(x-3),只需证明直线BD过点(2,0)即可.令y=0,得x-3=-,所以x===即证=2,即证2-x1x2=3.将(*)代入可得2-x1x2=-==3.所以直线BD过点(2,0),综上所述,直线BD恒过x轴上的定点(2,0).2.(2020·上饶模拟)已知椭圆C:+=1(a>b>0),离心率e=,点G(,1)在椭圆上.(1)求椭圆C的标准方程.(2)设点P是椭圆C上一点,左顶点为A,上顶点为B,直线PA与y轴交于点M,直线PB与x轴交于点N,求证:|AN|·|BM|为定值.【解析】(1)依题意得=,设c=t,则a=2t,b=t,由点G(,1)在椭圆上,有+=1,解得t=1,则a=2,b=,椭圆C的方程为+=1.(2)设P(x0,y0),M(0,m),N(n,0),A(-2,0),B(0,),由A,P,M三点共线,则有kPA=kMA,即=,解得m=,则M,由B,P,N三点共线,有kPB=kNB,即=,解得n=,则N,|AN|·|BM|=·=·=又点P在椭圆上,满足+=1,即2+4=8,代入上式得|AN|·|BM|===4,可知|AN|·|BM|为定值4.

1、当您付费下载文档后,您只拥有了使用权限,并不意味着购买了版权,文档只能用于自身使用,不得用于其他商业用途(如 [转卖]进行直接盈利或[编辑后售卖]进行间接盈利)。
2、本站所有内容均由合作方或网友上传,本站不对文档的完整性、权威性及其观点立场正确性做任何保证或承诺!文档内容仅供研究参考,付费前请自行鉴别。
3、如文档内容存在违规,或者侵犯商业秘密、侵犯著作权等,请点击“违规举报”。

碎片内容

版高考数学一轮复习 核心素养测评五十八 10.9.1 圆锥曲线中的定值与定点问题 文(含解析)北师大版-北师大版高三全册数学试题

您可能关注的文档

确认删除?
VIP
微信客服
  • 扫码咨询
会员Q群
  • 会员专属群点击这里加入QQ群
客服邮箱
回到顶部