http://www.zhnet.com.cn 或 http://www.e12.com.cn备课资料备用习题 如图 17,在四棱锥 S—ABCD 中,底面 ABCD 为正方形,侧棱 SD⊥...
http://www.zhnet.com.cn 或 http://www.e12.com.cn备课资料备用习题1.已知空间三点的坐标为 A(1,5,-2),B(2,4,1),C(p,3,q+2),若 A、B、...
http://www.zhnet.com.cn 或 http://www.e12.com.cn备课资料备用习题1.求直线 2x+11y+16=0 关于点 P(0,1)对称的直线方程.分析:中...
备课资料数学神童维纳的年龄20 世纪著名数学家诺伯特·维纳,从小就智力超常,三岁时就能读写,十四岁时就大学毕业了.几年后,他又通过...
http://www.zhnet.com.cn 或 http://www.e12.com.cn备课资料备选例题 如图 17,已知平面 α∩平面 β=直线 l,A∈α,ABβ⊥ ,B∈...
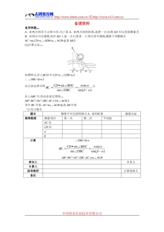
http://www.zhnet.com.cn 或 http://www.e12.com.cn备课资料备用例题A、B 两点间有小山和小河,为了求 A、B 两点间的距离,选择一点 ...
http://www.zhnet.com.cn 或 http://www.e12.com.cn备课资料备用习题1.在空间过点 M(1,2,-3)作 z 轴的垂线,交 z 轴于点 N,则垂足...
备课资料备用习题1.已知 a、b 是正实数,试比较 an+bn与 a n-1·b+abn-1的大小.解:an+bn-a n-1b-ab n-1=an-1(a-b)+bn-1(b-a)=(...
http://www.zhnet.com.cn 或 http://www.e12.com.cn备课资料备用习题1.在 x 轴上求一点 P,使 P 点到 A(-4,3)和 B(2,6)两点的距...
备课资料奇、偶函数的性质(1)奇偶函数的定义域关于原点对称;奇函数的图象关于原点对称,偶函数的图象关于 y 轴对称.(2)奇偶性是函数的整...
备课资料备用例题1.已知无穷数列5010,5110,5210 ,…, 5110n,….求证:(1)这个数列成等比数列;(2)这个数列中的任一项是它后面第...
http://www.zhnet.com.cn 或 http://www.e12.com.cn备课资料备用习题1.如图 15,P 是△ABC 所在平面外的一点,A′、B′、C′分别是△P...
http://www.zhnet.com.cn 或 http://www.e12.com.cn备课资料1.半角定理在△ABC 中,三个角的半角的正切和三边之间有如下的关系:pcpbp...
备课资料知识点总结——函数概念及性质1.函数的概念:设 A、B 是非空的数集,如果按照某个确定的对应关系 f,使对于集合 A 中的任意一...
http://www.zhnet.com.cn 或 http://www.e12.com.cn备课资料备用习题1.过点 P(6,-2)且在 x 轴上的截距比在 y 轴上的截距大 1 的...
备课资料一、课外阅读算术平均数不小于几何平均数的一种证明方法(局部调整法)(1)设 a1,a2,a3,…,a n为正实数,这 n 个数的算术...
备课资料备选例题例 1 已知两直线 l1:x+my+6=0,l2:(m-2)x+3y+2m=0,当 m 为何值时,直线 l1与 l2:①相交;②平行;③重合;④...
备课资料一、备用例题已知:b 是 a 与 c 的等比中项,且 a、b、c 同号,求证:3cba,3cabcab , 3 abc 也成等比数列....
http://www.zhnet.com.cn 或 http://www.e12.com.cn备课资料备用习题1.如果 a、b 是异面直线,且 a∥平面 α,那么 b 与 α 的位...
http://www.zhnet.com.cn 或 http://www.e12.com.cn备课资料知识拓展利用体积法求简单多面体的内切球半径 求简单多面体的内切球的半径常...

