电脑桌面
添加小米粒文库到电脑桌面
安装后可以在桌面快捷访问

高三数学一轮复习 第三节 两角和与差及倍角公式(1)教案 新人教版VIP免费

高三数学一轮复习 第三节 两角和与差及倍角公式(1)教案 新人教版_第1页
1/5
高三数学一轮复习 第三节 两角和与差及倍角公式(1)教案 新人教版_第2页
2/5
高三数学一轮复习 第三节 两角和与差及倍角公式(1)教案 新人教版_第3页
3/5
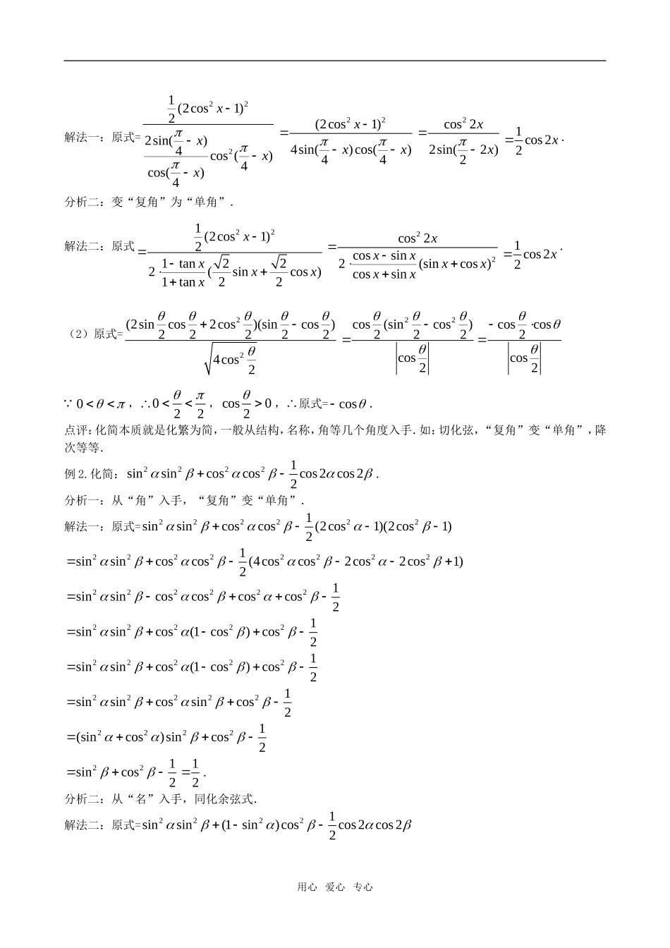
第3课两角和与差及倍角公式(一)【考点导读】1.掌握两角和与差,二倍角的正弦,余弦,正切公式,了解它们的内在联系;2.能运用上述公式进行简单的恒等变换;3.三角式变换的关键是条件和结论之间在角,函数名称及次数三方面的差异及联系,然后通过“角变换”,“名称变换”,“升降幂变换”找到已知式与所求式之间的联系;4.证明三角恒等式的基本思路:根据等式两端的特征,通过三角恒等变换,应用化繁为简,左右归一,变更命题等方法将等式两端的“异”化“同”.【基础练习】1.sin163sin223sin253sin313___________.2.化简2cos6sinxx_____________.3.若f(sinx)=3-cos2x,则f(cosx)=___________.4.化简:sinsin21coscos2___________.5.化简:(cossin)(cossin)(1tantan)22222____1___.6.给出下列四个命题:①存在这样的,,使得cos()coscossinsin;②不存在无穷多个,,使得cos()coscossinsin;③对于任意的,,都有cos()coscossinsin;④不存在这样的,,使得cos()coscossinsin.其中假命题的序号有______②_______.【范例解析】例1.化简:(1)42212cos2cos22tan()sin()44xxxx;(2)(1sincos)(sincos)22(0)22cos.(1)分析一:降次,切化弦.用心爱心专心3+cos2x解法一:原式=2221(2cos1)22sin()4cos()4cos()4xxxx22(2cos1)4sin()cos()44xxx2cos22sin(2)2xx1cos22x.分析二:变“复角”为“单角”.解法二:原式221(2cos1)21tan222(sincos)1tan22xxxxx22cos2cossin2(sincos)cossinxxxxxxx1cos22x.(2)原式=22(2sincos2cos)(sincos)222224cos222cos(sincos)coscos2222coscos220,022,cos02,原式=cos.点评:化简本质就是化繁为简,一般从结构,名称,角等几个角度入手.如:切化弦,“复角”变“单角”,降次等等.例2.化简:22221sinsincoscoscos2cos22.分析一:从“角”入手,“复角”变“单角”.解法一:原式=2222221sinsincoscos(2cos1)(2cos1)2222222221sinsincoscos(4coscos2cos2cos1)22222221sinsincoscoscoscos2222221sinsincos(1cos)cos2222221sinsincos(1cos)cos2222221sinsincossincos222221(sincos)sincos2221sincos212.分析二:从“名”入手,同化余弦式.解法二:原式=22221sinsin(1sin)coscos2cos22用心爱心专心222221sinsincossincoscos2cos2222221cossin(sincos)cos2cos22221cossincos2cos2cos22221coscos2(sincos2)2211coscos222分析三:从“形”入手,平方和关系.解法三:原式=21(sinsincoscos)2sinsincoscoscos2cos22211cos()sin2sin2cos2cos22221cos()cos(22)2111[cos2()1]cos(22)222分析四:从幂入手,降次扩角.解法四:原式=111(1cos2)(1cos2)(1cos2)(1cos2)cos2cos2442111(1cos2cos2cos2cos2)(1cos2cos2cos2cos2)cos2cos2442111(1cos2cos2)cos2cos2222点评:三角函数的化简,要认真分析式子的整体结构,分析各个三角函数及角的相互关系,认真寻求解题的突破口.例3.求证:21sin4cos41sin4cos42tan1tan.分析:左右同时化简.证明:原式等价于21sin4cos42tan1sin4cos41tan.左边=222sin2cos22sin2sin2tan22sin2cos22cos2cos2右边.点评:恒等式的证明,一般...

1、当您付费下载文档后,您只拥有了使用权限,并不意味着购买了版权,文档只能用于自身使用,不得用于其他商业用途(如 [转卖]进行直接盈利或[编辑后售卖]进行间接盈利)。
2、本站所有内容均由合作方或网友上传,本站不对文档的完整性、权威性及其观点立场正确性做任何保证或承诺!文档内容仅供研究参考,付费前请自行鉴别。
3、如文档内容存在违规,或者侵犯商业秘密、侵犯著作权等,请点击“违规举报”。

碎片内容

高三数学一轮复习 第三节 两角和与差及倍角公式(1)教案 新人教版

您可能关注的文档

雨丝书吧+ 关注
实名认证
内容提供者

乐于和他人分享知识,从事历史教学,热爱教育,高度负责。

相关文档

确认删除?
VIP
微信客服
  • 扫码咨询
会员Q群
  • 会员专属群点击这里加入QQ群
客服邮箱
回到顶部