电脑桌面
添加小米粒文库到电脑桌面
安装后可以在桌面快捷访问

湖南师范大学附属中学高一数学 二倍角的正弦、余弦、正切公式教案VIP免费

湖南师范大学附属中学高一数学 二倍角的正弦、余弦、正切公式教案_第1页
1/4
湖南师范大学附属中学高一数学 二倍角的正弦、余弦、正切公式教案_第2页
2/4
湖南师范大学附属中学高一数学 二倍角的正弦、余弦、正切公式教案_第3页
3/4
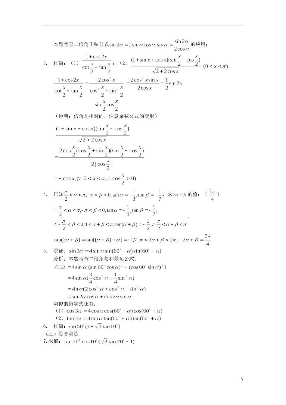
湖南师范大学附属中学高一数学教案:二倍角的正弦、余弦、正切公式(一)素质教育目标:1.知识目标:掌握二倍角的正弦、余弦、正切公式,并能灵活运用公式进行简单三角函数的化简、求值和证明;2.能力目标:能利用各类公式及化归的思想、等价转换的思想、方程和分类讨论的思想方法,解决一些综合问题;(二)课型课时计划:1.课题类型:新授课、综合课、练习课;2.教具使用:多媒体教学;3.课时计划:本课题安排1课时;(三)教学三点解析:1.教学重点:二倍角公式与和差角公式的内在联系,二倍角的正弦、余弦、正切公式及其变形;2.教学难点:灵活运用公式进行简单三角函数的化简、求值和证明;3.教学疑点:公式及其变形的正确使用,倍角和半角的相对理解,和差角公式、倍角公式、同角三角函数关系及诱导公式的综合应用;(四)教学过程设计一、温故知新,引入课题复习两角和与差的正弦、余弦、正切的公式;二、探索研究师:请大家想一想,在公式、、中对、如何合理赋值,才能出现、、的表达式,并请同学把对应的等式写在黑板上.生:可在、、中,令,就能出现、、,对应表达式为:即:对于公式,我们似乎要注意些什么?大家想一想要关注什么?生:要使有意义及,有意义.师:有意义即,.,即,也就是,可变为.要使有意义,则须.1综合起来就是,且,.当时,虽然的值不存在,但的值是存在的,这时求的值可利用诱导公式,即.师:对于,还有没有其他的形式?生:有(板书)∵∴或∴板书三个公式,并告诉学生公式记号分别为、、。三、基本应用变式训练(和差角公式、倍角公式、同角三角函数关系及诱导公式的综合应用;)1.课本练习2.求值:(1);(2)引申:求的值;2本题考查二倍角正弦公式的应用;3.化简:(1);(2)(说明:倍角是相对的,注意余弦公式的变形)4.已知,求的值;()5.求证:分析:本题考查二倍角与和差角公式;类似的恒等式还有:(1)(2)6.化简:(三)综合训练7.求值:38.已知:为锐角,且,求证:证明:由已知四、归纳小结,强化思想三角函数求值问题一般可分为下列几种情况:(1)给角求值(2)给值求值(3)给值求角给角求值是指在不查表的前提下,求三角函数式的值。一般方法是将非特殊角的三角函数转化为特殊角的三角函数值,或将非特殊角的三角函数值消去,解决此类问题需要准确灵活地运用三角函数恒等变形公式。给值求值问题是依据给定某些三角函数的值,求另外一些函数的值。解题的关键是找出条件与所求函数式中的角及函数间内在联系,通过三角函数变换求得。给值求角得一般步骤是:(1)求角的某个三角函数值;(2)确定角所在的范围或区间;(3)确定角的值。4

1、当您付费下载文档后,您只拥有了使用权限,并不意味着购买了版权,文档只能用于自身使用,不得用于其他商业用途(如 [转卖]进行直接盈利或[编辑后售卖]进行间接盈利)。
2、本站所有内容均由合作方或网友上传,本站不对文档的完整性、权威性及其观点立场正确性做任何保证或承诺!文档内容仅供研究参考,付费前请自行鉴别。
3、如文档内容存在违规,或者侵犯商业秘密、侵犯著作权等,请点击“违规举报”。

碎片内容

湖南师范大学附属中学高一数学 二倍角的正弦、余弦、正切公式教案

您可能关注的文档

确认删除?
VIP
微信客服
  • 扫码咨询
会员Q群
  • 会员专属群点击这里加入QQ群
客服邮箱
回到顶部