电脑桌面
添加小米粒文库到电脑桌面
安装后可以在桌面快捷访问

高考数学 三角函数与平面向量的交汇问题经典回顾课后练习二 理VIP免费

高考数学 三角函数与平面向量的交汇问题经典回顾课后练习二 理_第1页
1/3
高考数学 三角函数与平面向量的交汇问题经典回顾课后练习二 理_第2页
2/3
高考数学 三角函数与平面向量的交汇问题经典回顾课后练习二 理_第3页
3/3
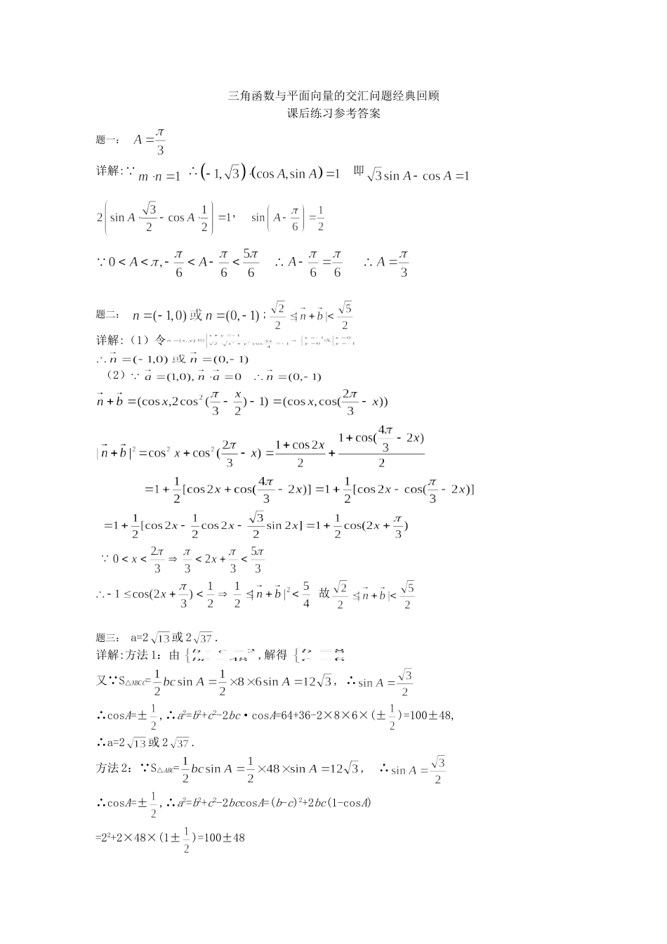
三角函数与平面向量的交汇问题经典回顾课后练习(二)题一:已知是三角形三个内角,向量,且,求角;题二:已知向量(1)求向量;(2)设向量,其中,若,试求的取值范围.题三:a、b、c为△ABC的三边,其面积S△ABC=12,bc=48,b-c=2,求a.题四:已知向量a=(sinθ,1),b=(1,cosθ),-<θ<.(Ⅰ)若a⊥b,求θ;(Ⅱ)求|a+b|的最大值.题五:已知角A、B、C为△ABC的三个内角,其对边分别为a、b、c,若→=(-cos,sin),→=(cos,sin),a=2,且→·→=.(Ⅰ)若△ABC的面积S=,求b+c的值.(Ⅱ)求b+c的取值范围.题六:在△ABC中,A、B、C所对边的长分别为a、b、c,已知向量→=(1,2sinA),→=(sinA,1+cosA),满足→∥→,b+c=a.(Ⅰ)求A的大小;(Ⅱ)求sin(B+)的值.0306三角函数与平面向量的交汇问题经典回顾课后练习参考答案题一:详解:∵∴即,∵∴∴题二:;详解:(1)令(2)故题三:a=2或2.详解:方法1:由,解得又∵S△ABCC=,∴∴cosA=±,∴a2=b2+c2-2bc·cosA=64+36-2×8×6×(±)=100±48,[Z*xx*k.Com]∴a=2或2.方法2:∵S△ABC=,∴∴cosA=±,∴a2=b2+c2-2bccosA=(b-c)2+2bc(1-cosA)=22+2×48×(1±)=100±48∴a=2或a=2题四:θ=-;+1.详解:(Ⅰ)若a⊥b,则sinθ+cosθ=0,由此得tanθ=-1(-<θ<),所以θ=-;(Ⅱ)由a=(sinθ,1),b=(1,cosθ)得|a+b|===,当sin(θ+)=1时,|a+b|取得最大值,即当θ=时,|a+b|最大值为+1.题五:b+c=4;2,4.详解:(Ⅰ)∵→=(-cos,sin),→=(cos,sin),且→·→=,∴-cos2+sin2=,即-cosA=,又A∈(0,π),∴A=.又由S△ABC=bcsinA=,所以bc=4,由余弦定理得:a2=b2+c2-2bc·cos=b2+c2+bc,∴16=(b+c)2,故b+c=4.(Ⅱ)由正弦定理得:====4,又B+C=-A=,∴b+c=4sinB+4sinC=4sinB+4sin(-B)=4sin(B+),∵0<B<,则<B+<,则<sin(B+)≤1,即b+c的取值范围是2,4.题六:A=;详解:(Ⅰ)由→∥→,得2sin2A-1-cosA=0,即2cos2A+cosA-1=0,∴cosA=或cosA=-1.∵A是△ABC内角,cosA=-1舍去,∴A=.(Ⅱ)∵b+c=a,由正弦定理,sinB+sinC=sinA=,∵B+C=,sinB+sin(-B)=,∴cosB+sinB=,即sin(B+)=.

1、当您付费下载文档后,您只拥有了使用权限,并不意味着购买了版权,文档只能用于自身使用,不得用于其他商业用途(如 [转卖]进行直接盈利或[编辑后售卖]进行间接盈利)。
2、本站所有内容均由合作方或网友上传,本站不对文档的完整性、权威性及其观点立场正确性做任何保证或承诺!文档内容仅供研究参考,付费前请自行鉴别。
3、如文档内容存在违规,或者侵犯商业秘密、侵犯著作权等,请点击“违规举报”。

碎片内容

高考数学 三角函数与平面向量的交汇问题经典回顾课后练习二 理

您可能关注的文档

文章天下+ 关注
实名认证
内容提供者

各种文档应有尽有

确认删除?
VIP
微信客服
  • 扫码咨询
会员Q群
  • 会员专属群点击这里加入QQ群
客服邮箱
回到顶部