电脑桌面
添加小米粒文库到电脑桌面
安装后可以在桌面快捷访问

版高考数学一轮复习 大题规范满分练(五)解析几何综合问题 文(含解析)北师大版-北师大版高三全册数学试题VIP免费

版高考数学一轮复习 大题规范满分练(五)解析几何综合问题 文(含解析)北师大版-北师大版高三全册数学试题_第1页
1/3
版高考数学一轮复习 大题规范满分练(五)解析几何综合问题 文(含解析)北师大版-北师大版高三全册数学试题_第2页
2/3
版高考数学一轮复习 大题规范满分练(五)解析几何综合问题 文(含解析)北师大版-北师大版高三全册数学试题_第3页
3/3
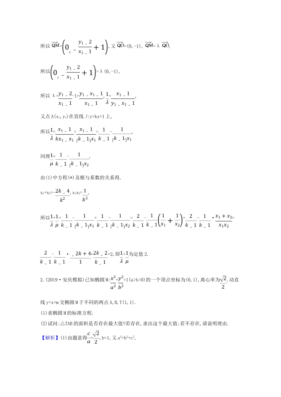
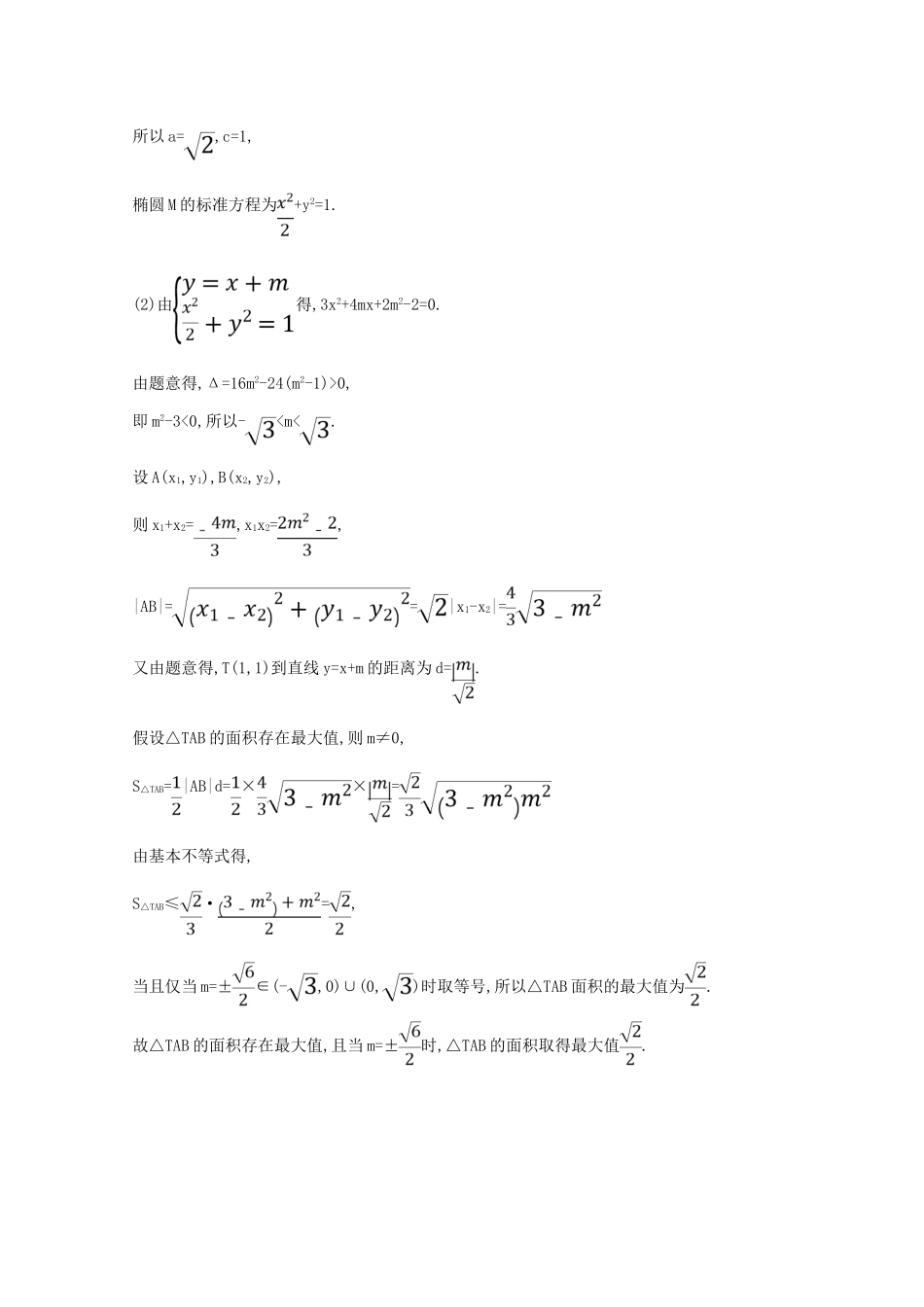
大题规范满分练(五)解析几何综合问题1.(2018·北京高考)已知抛物线C:y2=2px经过点P(1,2).过点Q(0,1)的直线l与抛物线C有两个不同的交点A,B,且直线PA交y轴于M,直线PB交y轴于N.(1)求直线l的斜率的取值范围.(2)设O为原点,=λ,=μ,求证:+为定值.【解析】将点P代入C的方程得4=2p,即p=2,所以抛物线C的方程为y2=4x,(1)显然l斜率存在,设为k,则l:y=kx+1,由消去y得k2x2+(2k-4)x+1=0,(*)由已知,方程(*)有两个不同的根,且1不是方程的根(因为PA,PB都与y轴有交点),所以Δ=-16k+16>0且k2+(2k-4)+1≠0,即k<1,且k≠-3,且k≠1,所以k<1,且k≠-3,即直线l斜率的取值范围是(-∞,-3)∪(-3,1).(2)设A(x1,y1),B(x2,y2),直线PA方程为y-2=(x-1),令x=0得y=-+2,即点M为,所以=,又=(0,-1),=λ,所以=λ(0,-1),所以λ=-1=,=,又点A(x1,y1)在直线l:y=kx+1上,所以===-,同理=-,由(1)中方程(*)及根与系数的关系得,x1+x2=-,x1x2=,所以+=-+-=-=-·=-·==2,即+为定值2.2.(2019·安庆模拟)已知椭圆M:+=1(a>b>0)的一个顶点坐标为(0,1),离心率为,动直线y=x+m交椭圆M于不同的两点A,B,T(1,1).(1)求椭圆M的标准方程.(2)试问:△TAB的面积是否存在最大值?若存在,求出这个最大值;若不存在,请说明理由.【解析】(1)由题意得=,b=1,又a2=b2+c2,所以a=,c=1,椭圆M的标准方程为+y2=1.(2)由得,3x2+4mx+2m2-2=0.由题意得,Δ=16m2-24(m2-1)>0,即m2-3<0,所以-

1、当您付费下载文档后,您只拥有了使用权限,并不意味着购买了版权,文档只能用于自身使用,不得用于其他商业用途(如 [转卖]进行直接盈利或[编辑后售卖]进行间接盈利)。
2、本站所有内容均由合作方或网友上传,本站不对文档的完整性、权威性及其观点立场正确性做任何保证或承诺!文档内容仅供研究参考,付费前请自行鉴别。
3、如文档内容存在违规,或者侵犯商业秘密、侵犯著作权等,请点击“违规举报”。

碎片内容

版高考数学一轮复习 大题规范满分练(五)解析几何综合问题 文(含解析)北师大版-北师大版高三全册数学试题

您可能关注的文档

慧源书店+ 关注
实名认证
内容提供者

从事历史教学,热爱教育,高度负责。

相关文档

确认删除?
微信客服
  • 扫码咨询
会员Q群
  • 会员专属群点击这里加入QQ群