电脑桌面
添加小米粒文库到电脑桌面
安装后可以在桌面快捷访问

高二数学 不等式的性质、算术平均数与几何平均数同步练习 文 人教版VIP免费

高二数学 不等式的性质、算术平均数与几何平均数同步练习 文 人教版_第1页
1/3
高二数学 不等式的性质、算术平均数与几何平均数同步练习 文 人教版_第2页
2/3
高二数学 不等式的性质、算术平均数与几何平均数同步练习 文 人教版_第3页
3/3
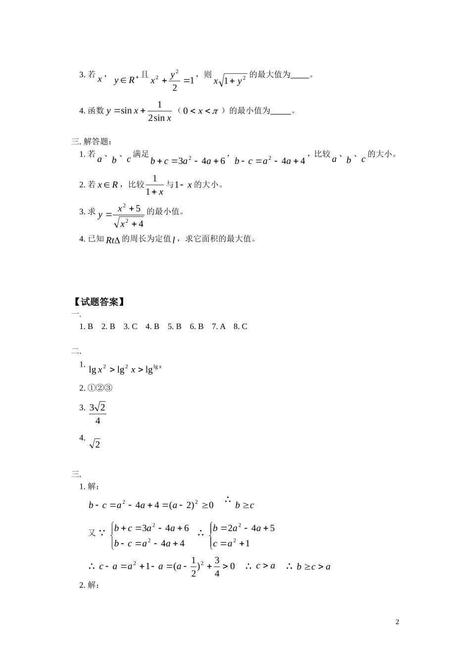
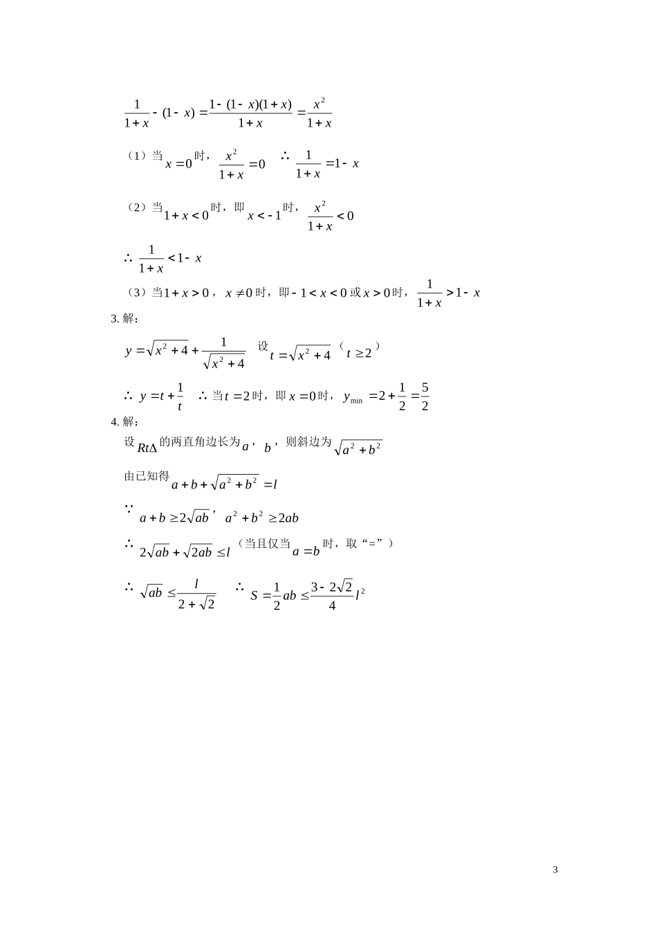
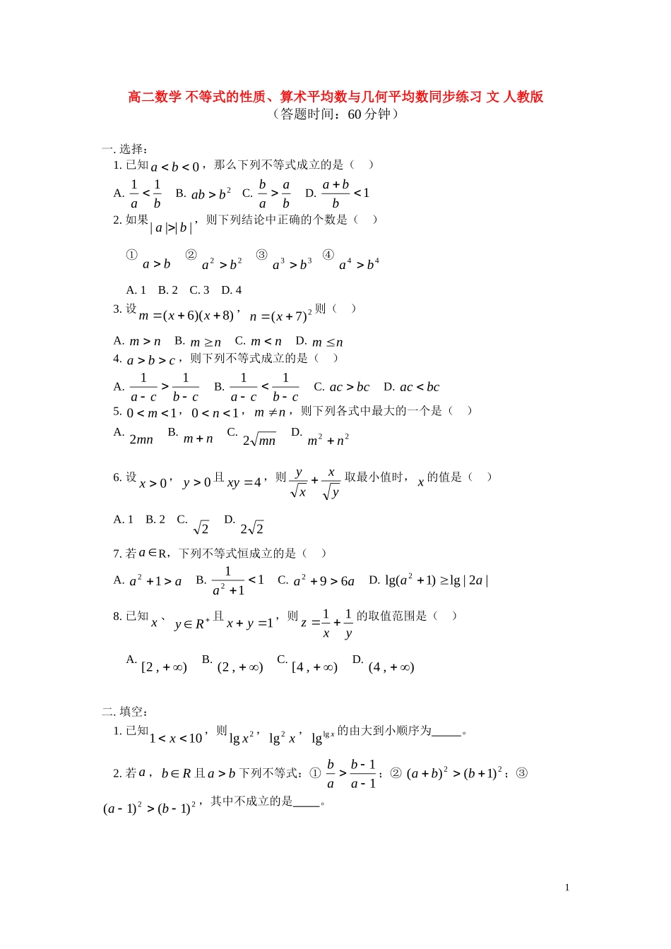
高二数学不等式的性质、算术平均数与几何平均数同步练习文人教版(答题时间:60分钟)一.选择:1.已知0ba,那么下列不等式成立的是()A.ba11B.2babC.baabD.1bba2.如果||||ba,则下列结论中正确的个数是()①ba②22ba③33ba④44baA.1B.2C.3D.43.设)8)(6(xxm,2)7(xn则()A.nmB.nmC.nmD.nm4.cba,则下列不等式成立的是()A.cbca11B.cbca11C.bcacD.bcac5.10m,10n,nm,则下列各式中最大的一个是()A.mn2B.nmC.mn2D.22nm6.设0x,0y且4xy,则yxxy取最小值时,x的值是()A.1B.2C.2D.227.若aR,下列不等式恒成立的是()A.aa12B.1112aC.aa692D.|2|lg)1lg(2aa8.已知x、Ry且1yx,则yxz11的取值范围是()A.),2[B.),2(C.),4[D.),4(二.填空:1.已知101x,则2lgx,x2lg,xlglg的由大到小顺序为。2.若a,Rb且ba下列不等式:①11abab;②22)1()(bba;③22)1()1(ba,其中不成立的是。13.若x,Ry且1222yx,则21yx的最大值为。4.函数xxysin21sin(x0)的最小值为。三.解答题:1.若a、b、c满足6432aacb,442aacb,比较a、b、c的大小。2.若Rx,比较x11与x1的大小。3.求4522xxy的最小值。4.已知Rt的周长为定值l,求它面积的最大值。【试题答案】一.1.B2.B3.C4.B5.B6.B7.A8.C二.1.xxxlg22lglglg2.①②③3.4234.2三.1.解:0)2(4422aaacb∴cb又∵4464322aacbaacb∴154222acaab∴043)21(122aaaac∴ac∴acb2.解:2xxxxxxx11)1)(1(1)1(112(1)当0x时,012xx∴xx111(2)当01x时,即1x时,012xx∴xx111(3)当01x,0x时,即01x或0x时,xx1113.解:41422xxy设42xt(2t)∴tty1∴当2t时,即0x时,25212miny4.解:设Rt的两直角边长为a,b,则斜边为22ba由已知得lbaba22∵abba2,abba222∴labab22(当且仅当ba时,取“=”)∴22lab∴2422321labS3

1、当您付费下载文档后,您只拥有了使用权限,并不意味着购买了版权,文档只能用于自身使用,不得用于其他商业用途(如 [转卖]进行直接盈利或[编辑后售卖]进行间接盈利)。
2、本站所有内容均由合作方或网友上传,本站不对文档的完整性、权威性及其观点立场正确性做任何保证或承诺!文档内容仅供研究参考,付费前请自行鉴别。
3、如文档内容存在违规,或者侵犯商业秘密、侵犯著作权等,请点击“违规举报”。

碎片内容

高二数学 不等式的性质、算术平均数与几何平均数同步练习 文 人教版

您可能关注的文档

状元书店+ 关注
实名认证
内容提供者

热爱教学事业,对互联网知识分享很感兴趣

相关文档

确认删除?
VIP
微信客服
  • 扫码咨询
会员Q群
  • 会员专属群点击这里加入QQ群
客服邮箱
回到顶部