电脑桌面
添加小米粒文库到电脑桌面
安装后可以在桌面快捷访问

高中数学 第3章 指数函数和对数函数 3.2.2 指数运算的性质课后篇巩固提升(含解析)北师大版必修1-北师大版高一必修1数学试题VIP免费

高中数学 第3章 指数函数和对数函数 3.2.2 指数运算的性质课后篇巩固提升(含解析)北师大版必修1-北师大版高一必修1数学试题_第1页
1/6
高中数学 第3章 指数函数和对数函数 3.2.2 指数运算的性质课后篇巩固提升(含解析)北师大版必修1-北师大版高一必修1数学试题_第2页
2/6
高中数学 第3章 指数函数和对数函数 3.2.2 指数运算的性质课后篇巩固提升(含解析)北师大版必修1-北师大版高一必修1数学试题_第3页
3/6
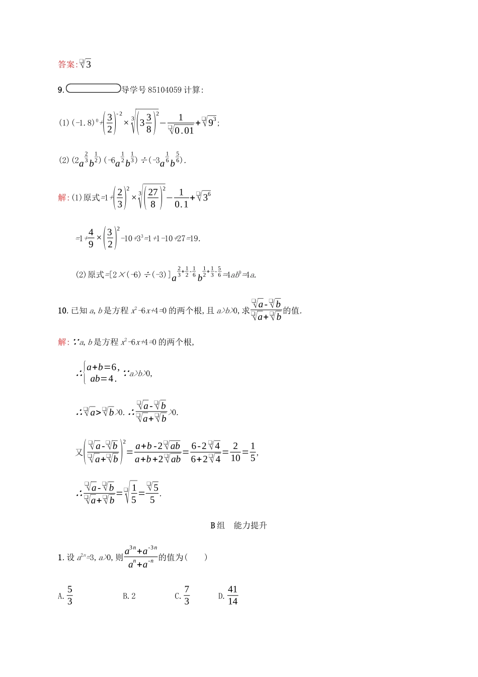
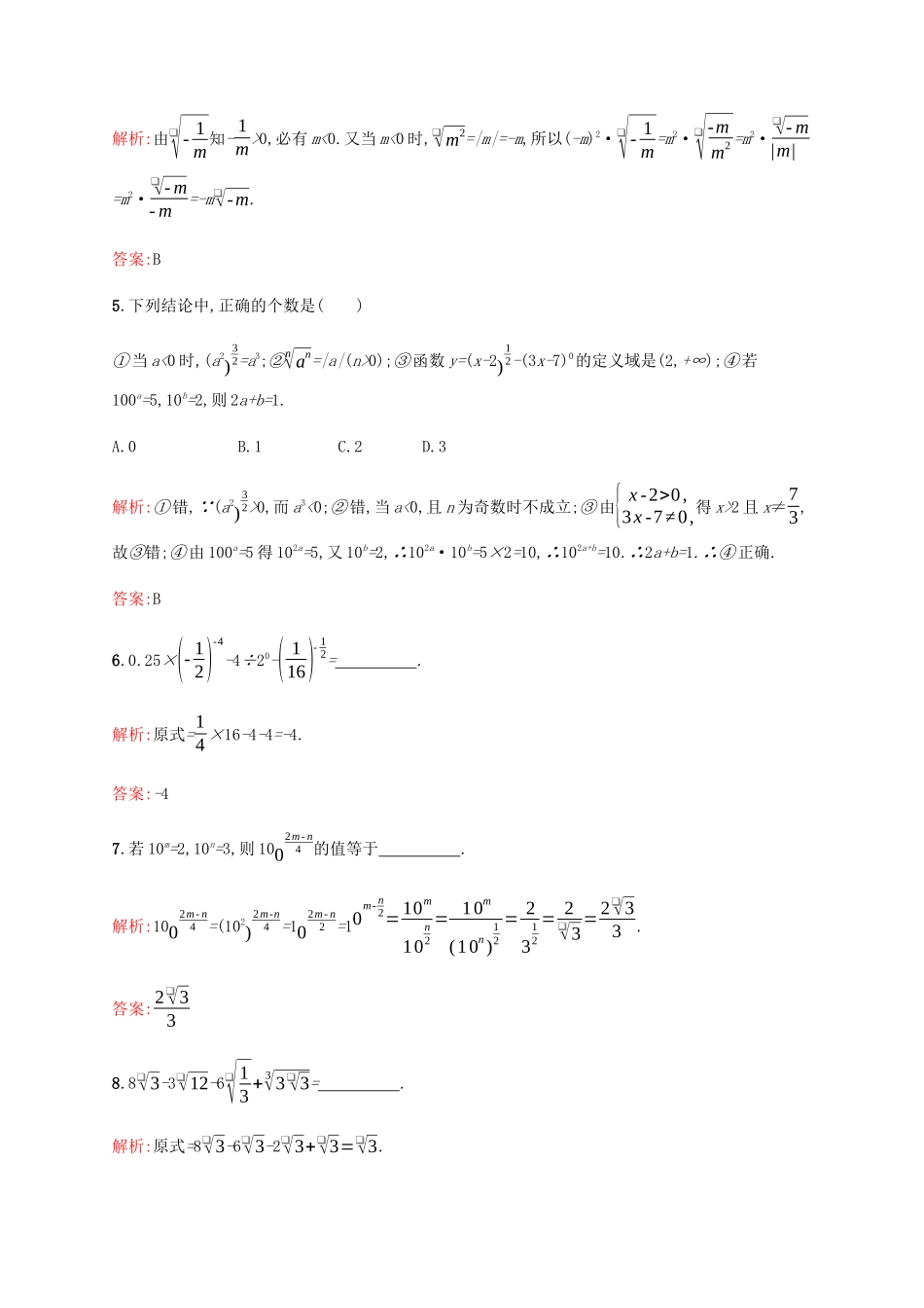
2.2指数运算的性质课后篇巩固提升A组基础巩固1.设a>0,将a2❑√a·3√a2表示成分数指数幂,其结果是()A.a12B.a56C.a76D.a32解析:由题意,a2❑√a·3√a2=a2-12-13=a76.故选C.答案:C2.若a4+a-4=6,则a2+a-2的值等于()A.6B.❑√6C.2D.2❑√2解析:因为(a2+a-2)2=a4+a-4+2a2·a-2=a4+a-4+2=6+2=8,且a2+a-2>0,所以a2+a-2=2❑√2.答案:D3.计算1.5-13×(-76)0+80.25×4√2+(3√2×❑√3)6-❑√(-23)23的结果为()A.110B.89C.97D.121解析:原式=(23)13×1+234×214+(213×312)6-(23)13=(23)13+2+22×33-(23)13=2+4×27=110.答案:A4.化简(-m)2·❑√-1m的结果为()A.❑√mB.-m❑√-mC.m❑√mD.m❑√-m解析:由❑√-1m知-1m>0,必有m<0.又当m<0时,❑√m2=|m|=-m,所以(-m)2·❑√-1m=m2·❑√-mm2=m2·❑√-m|m|=m2·❑√-m-m=-m❑√-m.答案:B5.下列结论中,正确的个数是()①当a<0时,(a2)32=a3;②n√an=|a|(n>0);③函数y=(x-2)12-(3x-7)0的定义域是(2,+∞);④若100a=5,10b=2,则2a+b=1.A.0B.1C.2D.3解析:①错,∵(a2)32>0,而a3<0;②错,当a<0,且n为奇数时不成立;③由{x-2>0,3x-7≠0,得x>2且x≠73,故③错;④由100a=5得102a=5,又10b=2,∴102a·10b=5×2=10,∴102a+b=10.∴2a+b=1.∴④正确.答案:B6.0.25×(-12)-4-4÷20-(116)-12=.解析:原式=14×16-4-4=-4.答案:-47.若10m=2,10n=3,则1002m-n4的值等于.解析:1002m-n4=(102)2m-n4=102m-n2=10m-n2=10m10n2=10m(10n)12=2312=2❑√3=2❑√33.答案:2❑√338.8❑√3-3❑√12-6❑√13+3√3❑√3=.解析:原式=8❑√3-6❑√3-2❑√3+❑√3=❑√3.答案:❑√39.导学号85104059计算:(1)(-1.8)0+(32)-2×3√(338)2−1❑√0.01+❑√93;(2)(2a23b12)(-6a12b13)÷(-3a16b56).解:(1)原式=1+(23)2×3√(278)2−10.1+❑√36=1+49×(32)2-10+33=1+1-10+27=19.(2)原式=[2×(-6)÷(-3)]a23+12-16b12+13-56=4ab0=4a.10.已知a,b是方程x2-6x+4=0的两个根,且a>b>0,求❑√a-❑√b❑√a+❑√b的值.解:∵a,b是方程x2-6x+4=0的两个根,∴{a+b=6,ab=4.∵a>b>0,∴❑√a>❑√b>0.∴❑√a-❑√b❑√a+❑√b>0.又(❑√a-❑√b❑√a+❑√b)2=a+b-2❑√aba+b+2❑√ab=6-2❑√46+2❑√4=210=15,∴❑√a-❑√b❑√a+❑√b=❑√15=❑√55.B组能力提升1.设a2n=3,a>0,则a3n+a-3nan+a-n的值为()A.53B.2C.73D.4114解析:由a2n=3,a>0,得an=❑√3,a-n=1❑√3,a3n=(❑√3)3=3❑√3,a-3n=13❑√3.故a3n+a-3nan+a-n=3❑√3+13❑√3❑√3+1❑√3=(3❑√3)2+1❑√3×3❑√3+3=2812=73.答案:C2.若a>1,b>0,且ab+a-b=2❑√2,则ab-a-b的值为()A.❑√6B.2或-2C.-2D.2解析:∵(ab+a-b)2=8,∴a2b+a-2b=6,∴(ab-a-b)2=a2b+a-2b-2=4.又ab>a-b(a>1,b>0),∴ab-a-b=2.答案:D3.若102x=25,10y2=5,则10y-x=.解析:由102x=25,得10x=5,∴10-x=(10x)-1=5-1.又10y2=(10y)12=5,∴10y=52,故10y-x=10y·10-x=52·5-1=5.答案:54.若a12−a-12=m,则a2+1a=.解析:由a12−a-12=m,两边平方得,a+a-1-2=m2,即a+a-1=m2+2,故a2+1a=a+a-1=m2+2.答案:m2+25.3√a92❑√a-3÷❑√3√a-7·3√a13=(其中a>0).解析:原式=[a13×92·a13×(-32)]÷[a12×(-73)·a12×133]=a96-36+76-136=a0=1.答案:16.已知a=-27125,b=20172018,试求a23+33√ab+9b23a43-27a13b÷a133√a-33√b的值.解:显然a≠0,所以有原式=a23+3a13b13+(3b13)2a13(a-27b)×a13-3b13a13=(a13)3-(3b13)3a23(a-27b)=1a23=a-23=(-27125)-23=259.7.导学号85104060(拓展探究)已知a>0,若对于a≤r≤8,r∈N+,式子(❑√a)8-r·(14√a)r能化为关于a的整数指数幂的可能情形有几种?解:(❑√a)8-r·(14√a)r=a8-r2·a-r4=a16-3r4.∵a>0,a≤r≤8,r∈N+,∴r=4,8时,上式能化为关于a的整数指数幂,故符合要求的情形有两种.

1、当您付费下载文档后,您只拥有了使用权限,并不意味着购买了版权,文档只能用于自身使用,不得用于其他商业用途(如 [转卖]进行直接盈利或[编辑后售卖]进行间接盈利)。
2、本站所有内容均由合作方或网友上传,本站不对文档的完整性、权威性及其观点立场正确性做任何保证或承诺!文档内容仅供研究参考,付费前请自行鉴别。
3、如文档内容存在违规,或者侵犯商业秘密、侵犯著作权等,请点击“违规举报”。

碎片内容

高中数学 第3章 指数函数和对数函数 3.2.2 指数运算的性质课后篇巩固提升(含解析)北师大版必修1-北师大版高一必修1数学试题

您可能关注的文档

确认删除?
VIP
微信客服
  • 扫码咨询
会员Q群
  • 会员专属群点击这里加入QQ群
客服邮箱
回到顶部