电脑桌面
添加小米粒文库到电脑桌面
安装后可以在桌面快捷访问

苏教版必修5高中数学正弦、余弦定理的应用教案VIP免费

苏教版必修5高中数学正弦、余弦定理的应用教案_第1页
1/6
苏教版必修5高中数学正弦、余弦定理的应用教案_第2页
2/6
苏教版必修5高中数学正弦、余弦定理的应用教案_第3页
3/6
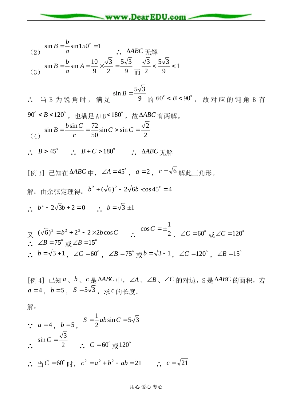
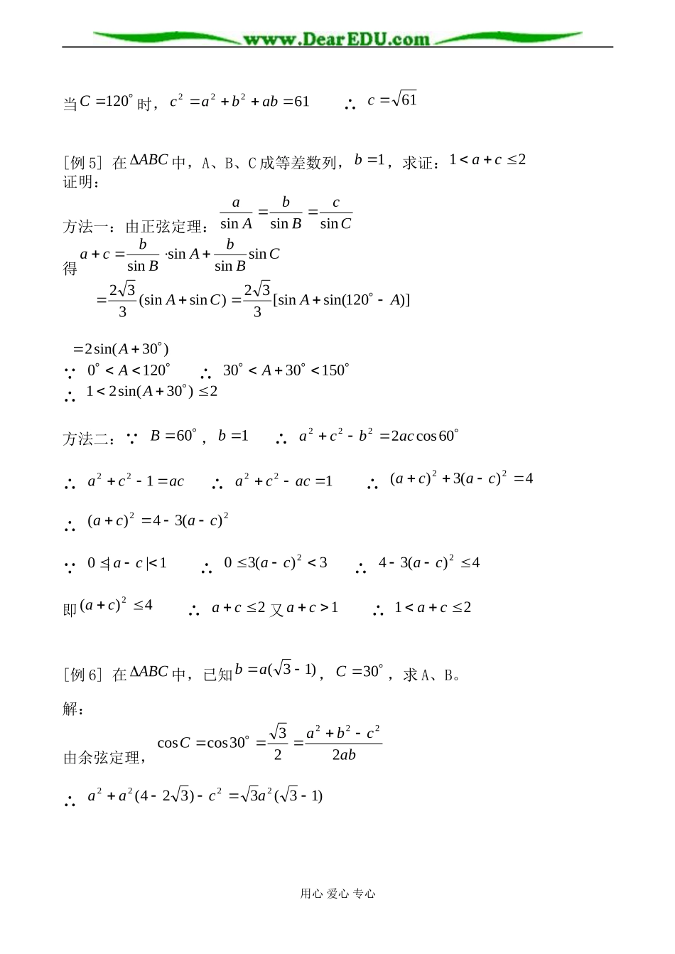
正弦、余弦定理的应用一.教学内容:正弦、余弦定理二.教学重、难点:1.重点:正弦、余弦定理。2.难点:运用正、余弦定理解决有关斜三角形问题。【典型例题】[例1]已知在ABC中,45A,2a,6c解此三角形。解:由正弦定理得23222645sin26sinC∵6sinAc3222a,6c,623∴有两解,即60C或120C754560180B或1545120180B由BAabsinsin得13b或13b∴13b,60C,75B或13b,120C,15B[例2]不解三角形,判断下列三角形解的个数。(1)5a,4b,120A(2)7a,14b,150A(3)9a,10b,60A(4)50c,72b,135C解:(1)232354120sinsinabB,∴ABC有一解。用心爱心专心(2)1150sinsinabB∴ABC无解(3)93523910sinsinAabB而193523∴当B为锐角时,满足935sinB的9060B,故对应的钝角B有12090B,也满足A+B180,故ABC有两解。(4)22sinsin5072sinsinCCcCbB∴45B∴180CB∴ABC无解[例3]已知在ABC中,45A,2a,6c解此三角形。解:由余弦定理得:445cos62)6(22bb∴02322bb∴13b又Cbbcos222)6(222∴21cosC,60C或120C∴75B或15B∴13b,60C,75B或13b,120C,15B[例4]已知a、b、c是ABC中,A、B、C的对边,S是ABC的面积,若4a,5b,35S,求c的长度。解:∵4a,5b,35sin21CabS∴23sinC∴60C或120∴当60C时,21222abbac∴21c用心爱心专心当120C时,61222abbac∴61c[例5]在ABC中,A、B、C成等差数列,1b,求证:21ca证明:方法一:由正弦定理:CcBbAasinsinsin得CBbABbcasinsinsinsin)]120sin([sin332)sin(sin332AACA)30sin(2A∵1200A∴1503030A∴2)30sin(21A方法二:∵60B,1b∴60cos2222acbca∴acca122∴122acca∴4)(3)(22caca∴22)(34)(caca∵1||0ca∴3)(302ca∴4)(342ca即4)(2ca∴2ca又1ca∴21ca[例6]在ABC中,已知)13(ab,30C,求A、B。解:由余弦定理,abcbaC22330coscos222∴)13(3)324(2222acaa用心爱心专心∴22)32(ac∴aac21332由正弦定理:30sin213sin)13(sinaBaAa∴2230sin2sinB∵ba∴BA∴B为锐角∴45B∴105)3045(180A[例7]已知ABC中,BbaCAsin)()sin(sin2222,外接圆半径为2。(1)求C(2)求ABC面积的最大值解:(1)由BbaCAsin)()sin(sin2222∴RbbaRcRa2)()44(22222∴2R∴222babca∴abcba222∴212cos222abcbaC又1800C∴60C(2)BAabCabSsinsin322321sin21)sin120coscos120(sinsin32)120sin(sin32AAAAA用心爱心专心232cos232sin23sin3cossin32AAAAA23)302sin(3A∴当1202A即60A时,233maxS[例8]在ABC中,角A、B、C所对的边分别为a、b、c依次成等比数列,求BBBycossin2sin1的取值范围。解:∵acb2∴2121)(2122cos22222accaacaccaacbcaB∴30B)4sin(2cossincossin)cos(sincossin2sin12BBBBBBBBBBy∵12744B∴1)4sin(22B∴21y[例9]在ABC中,若三边长为连续三个正整数,最大角是钝角,求此最大角。解:设1ka,kb,1kc,*Nk且1k∵C是钝角∴0)1(242cos222kkabcbaC解得41k∵*Nk∴2k或3用心爱心专心当2k时,1cosC(舍去)当3k时,41cosC∴)41arccos(c∴最大角为)41arccos(用心爱心专心

1、当您付费下载文档后,您只拥有了使用权限,并不意味着购买了版权,文档只能用于自身使用,不得用于其他商业用途(如 [转卖]进行直接盈利或[编辑后售卖]进行间接盈利)。
2、本站所有内容均由合作方或网友上传,本站不对文档的完整性、权威性及其观点立场正确性做任何保证或承诺!文档内容仅供研究参考,付费前请自行鉴别。
3、如文档内容存在违规,或者侵犯商业秘密、侵犯著作权等,请点击“违规举报”。

碎片内容

苏教版必修5高中数学正弦、余弦定理的应用教案

您可能关注的文档

雨丝书吧+ 关注
实名认证
内容提供者

乐于和他人分享知识,从事历史教学,热爱教育,高度负责。

确认删除?
VIP
微信客服
  • 扫码咨询
会员Q群
  • 会员专属群点击这里加入QQ群
客服邮箱
回到顶部